TIỀN HỒ

Xuất bản: UTC +7

TIỀN HỒ

Radix Peucedani

Dược liệu là rễ phơi khô của cây Tiền Hồ, tên khoa học là:

Peucedanum decursivum Maxim họ Hoa tán – Apiaceae.
hoặc Peucedanum praeruptorum Dunn

1,Đặc điểm thực vật

            Cây thuộc thảo mọc thẳng đứng có thể cao đến 1,5m, thân có các rãnh dọc. Lá xẻ 2 lần lông chim, phiến lá dài 14-30cm có bẹ lá phồng và rộng. Lá càng lên phía trên càng nhỏ và cuống ngắn lại. Cụm hoa tán kép. Loài P.decursivum hoa màu tím loài P. praeruptorum hoa màu trắng quả hình bầu dục cụt hai đầu, dài 5-7mm, rộng 3-5mm chia làm 2 phân quả .

2,Địa lý và thu hái

            Có ở Trung quốc ở nhiều tỉnh nhưng tiền hồ ở Hàng châu coi là tốt nhất. Ở nước ta phát hiện thấy có ở Đồng đăng (Lạng sơn).

            Đào lấy rễ già vào thu đông, cắt bỏ gốc thân, rửa sạch, phơi hoặc sấy nhẹ cho khô .

3,Thành phần hóa học.

            + Tiền hồ hoa tím, thành phần hóa học có:

–  Tinh dầu

–  Các dẫn chất chất coumarin:

  • Nodakenin là một furanocoumarin, glycosid này khi thuỷ phân sẽ cho nodakenetin.

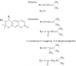
  • Ba dẫn chất khác thuộc nhóm dihydro 6:7 pyranocoumarin: decursin, decursidin, 3′ isovaleroyl 4′-O-angeloyl 3′,4′-dihydroxanthyletin; ngoài ra còn có umbelliferon.

+ Tiền hồ hoa trắng, thành phần hoá học có:

– Tinh dầu

– Các dẫn chất coumarin:

            Nodakenin

            Bốn dẫn chất A,B,C,D thuộc nhóm dihydro 7:8 pyranocoumarin

4,Định tính:

            Dương tính với các phản ứng mở -đóng vòng lacton đã trình bày trong phần đại cương.

            Thử theo dược điển Trung quốc: cho 5g bột dược liệu vào bình thêm 30ml ethanol, đun có ống sinh hàn đứng trong 10 phút, lọc. Lấy 2ml đem bốc hơi đến khô, thêm 1ml acid acetic băng để hòa tan cặn, sau đó thêm 5 giọt acetyl chlorid và vài hạt tinh thể kẽm chlorid rồi đun nóng trên nồi cách thủy trong 1-2 phút, có màu đỏ xuất hiện.

5,Tác dụng và công dụng :

            Thí nghiệm cho mèo uống nước sắc tiền hồ thấy tăng tiết dịch đường hô hấp và có tác dụng kéo dài.Tiền hồ có tác dụng làm giãn mạch vành.

            Tiền hồ dùng chữa khó thở,viêm đường hô hấp ho có nhiều đờm .

            Liều dùng 9-15g, dùng dưới dạng thuốc sắc chia làm 2-3 lần trong ngày .

copy xin vui lòng ghi nguồn duovital.net

 

Để lại một bình luận

Email của bạn sẽ không được hiển thị công khai. Các trường bắt buộc được đánh dấu *