THỔ HOÀNG LIÊN (Thân rễ)
Rhizoma et Radix Thalictri
Thân rễ đã phơi hay sấy khô của cây Thổ hoàng liên (Thalictrum foliolosum DC.), họ Hoàng Liên (Ranunculaceae).
Mô tả
Dược liệu là đoạn thân rễ có kèm theo rễ. Đoạn thân rễ màu nâu sẫm dài 2 – 8 cm, đường kính 0,3 – 1,1 cm, thường cong queo, có nhiều đốt khúc khuỷu to. Dễ bẻ gẫy, vết bẻ có màu vàng nhạt, không phẳng. Mặt cắt ngang có 2 phần rõ rệt: Phần vỏ màu nâu sẫm, phần gỗ màu vàng, ruột màu xám. Rễ dài 3 – 15 cm, đường kính 0,1 – 0,4 cm, mặt ngoài màu nâu nhạt, có các nếp nhăn dọc. Rễ mềm hơn thân rễ và mặt cắt ngang cũng có hai phần rõ rệt, phần ngoài màu vàng nhạt, lõi gỗ phía trong màu vàng đậm. Vị rất đắng.
Vi phẫu
Lớp bần gồm vài hàng tế bào bị bẹp, màng hơi dày và nhăn nheo. Mô mềm vỏ gồm những tế bào hình chữ nhật hay hình nhiều cạnh, thành mỏng. Có đám sợi xếp thành một vòng trong mô mềm vỏ, mỗi bó đặt trước một lớp libe-gỗ. Libe và gỗ cấp 2 xếp thành từng bó. Libe ở phía ngoài, gồm những tế bào nhỏ hình đa giác xếp đều đặn thành dãy liên tục hay gián đoạn. Gỗ ở phía trong, mỗi bó có thể không phân nhánh hay phân ra nhiều nhánh. Tia ruột xen kẽ giữa các bó libe-gỗ. Mô mềm ruột gồm những tế bào to hơn mô mềm vỏ.
Soi bột
Mảnh bần màu vàng nâu. Mảnh mô mềm gồm những tế bào hình chữ nhật hay hình nhiều cạnh, thành mỏng. Sợi đứng riêng lẻ hay tập trung thành từng bó. Tinh thể calci oxalat hình cầu gai và hình khối hình chữ nhật. Mảnh mạch mạng, mạch điểm. Tế bào mô cứng thành dày có ống trao đổi rõ. Các hạt tinh bột hình chuông hoặc hình trứng, hình tròn.
Định tính
A. Lấy khoảng 3 g bột dược liệu cho vào bình nón 100 ml, thêm 30 ml ethanol 90% (TT), đun sôi cách thuỷ 5 phút. Lọc, lấy dịch chiết ethanol (dung dịch A).
Lấy khoảng 5 ml dung dịch A cho vào chén sứ, cô cách thuỷ đến khô, hoà tan cắn với 3 ml dung dịch acid sulfuric 2% (TT) rồi chuyển vào một ống nghiệm, cho thêm vài giọt nước clor (TT) hoặc nước brom (TT) hay dung dịch cloramin T 10% (TT), lắc đều sẽ thấy dung dịch chuyển từ màu vàng sang màu đỏ.
B. Lấy 2 giọt dung dịch A đặt lên phiến kính, để bốc hơi cho khô, thêm 1 giọt acid hydrocloric (TT) hay dung dịch acid nitric 25% (TT). Đậy lá kính lên để yên khoảng 15 – 20 phút rồi đem quan sát dưới kính hiển vi sẽ thấy những tinh thể hình kim màu vàng.
C. Phương pháp sắc ký lớp mỏng (Phụ lục 5.4)
Bản mỏng: Silica gel G
Hệ dung môi khai triển: Cloroform – methanol – amoniac đậm đặc (80 : 20 : 1).
Dung dịch thử: Dung dịch A
Dung dịch đối chiếu: Dung dịch berberin clorid 1% trong ethanol 90% (TT) và dung dịch palmatin clorid 1% trong ethanol 90% (TT).
Cách tiến hành: Chấm riêng biệt lên bản mỏng 20 μl mỗi dung dịch trên. Sau khi triển khai sắc ký, để bay hết dung môi, phun lên bản mỏng thuốc thử Dragendorff (TT). Trên sắc ký đồ của dung dịch thử, ít nhất có hai vết có màu đỏ cam và có cùng giá trị Rf với vết berberin và palmatin trên sắc ký đồ của dung dịch đối chiếu.
Độ ẩm
Không quá 12% (Phụ lục 9.6, 1 g, 105oC, 5 giờ).
Tro toàn phần
Không quá 5,5% (Phụ lục 9.8).
Tạp chất (Phụ lục 12.11)
Tạp chất hữu cơ: Không quá 1%.
Tạp chất vô cơ: Không quá 0,5%.
Định lượng
Cân chính xác khoảng 2,5 g bột dược liệu cho vào bình Zaitchenko hoặc Soxhlet, chiết bằng 50 ml ethanol 90% (TT) cho đến khi hết màu vàng. Cất thu hồi ethanol trên cách thuỷ cho tới khi còn khoảng 1/10 thể tích ban đầu. Thêm 30 ml nước và 2 – 3 g magnesi oxyd (TT), tiếp tục đun trên cách thuỷ ở 60 – 70oC trong 15 phút, thỉnh thoảng lắc bình. Lọc lấy dịch lọc và cắn dưới áp suất giảm, rửa cắn bằng 30 – 40 ml nước nóng, rửa làm nhiều lần cho đến khi nước rửa không còn màu vàng nữa. Gộp các nước rửa với dịch lọc vào một bình có dung tích 200 ml.
Để nguội, thêm 5 ml dung dịch kali iodid 50% (TT) và khuấy để kết tủa berberin iodid. Ly tâm, gạn bỏ dịch trong ở phía trên.
Thêm vào tủa còn lại 20 ml dung dịch kali iodid 2% (TT) và khuấy thật kỹ, ly tâm, bỏ dịch trong ở phía trên. Dùng 10 ml nước cất chia làm nhiều lần chuyển tủa vào một bình nón có nút mài dung tích 250 ml. Đun trên cách thuỷ, lắc bình cho berberin iodid phân tán đều trong nước. Khi nhiệt độ trong bình lên tới 70oC, thêm aceton (TT) (khoảng 8 – 9 ml), vừa thêm vào lắc tới khi tủa berberin iodid vừa tan hết thì ngừng ngay. Đậy nút bình, tiếp tục đun 1 – 2 phút. Sau đó thêm thật nhanh 3 ml dung dịch amoniac (TT), lắc bình cho đến khi berberin-aceton kết tủa. Để ở chỗ mát một đêm.
Lọc tủa berberin-aceton vào phễu xốp thuỷ tinh G3 (đường kính lỗ xốp 16 – 40 μm) đã cân trước. Hứng dịch lọc vào một bình khác, đo thể tích dịch lọc. Rửa tủa bằng 10 ml ether (TT), sấy khô ở 105oC trong 3 giờ, để nguội trong bình hút ẩm rồi cân.
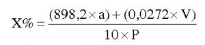
1 g tủa tương ứng với 898,2 mg berberin.
1 ml dịch lọc tương ứng với 0,0272 mg berberin.
Hàm lượng phần trăm berberin trong dược liệu khô tính theo công thức:
P: Khối lượng dược liệu định lượng đã trừ độ ẩm (g).
a: Khối lượng tủa thu được (g).
V: Thể tích dịch lọc đo được (ml).
Dược liệu ít nhất phải chứa 1% berberin (tính theo dược liệu khô kiệt).
Chế biến
Thường thu hoạch rễ vào tháng 6 – tháng 8. Lúc trời khô ráo, đào lấy rễ và thân rễ, rửa nước thật nhanh cho sạch đất cát, cắt bỏ rễ con và gốc thân, rồi phơi hay sấy khô.
Bào chế
Loại bỏ tạp chất, rửa sạch, ủ mềm, thái mỏng phơi khô hoặc tẩm rượu sao khô.
Bảo quản
Để nơi khô, mát, trong bao bì kín, tránh mốc mọt.
Tính vị, quy kinh
Khổ, hàn. Quy vào các kinh can, tâm, tỳ, vị, đởm, đại tràng.
Công năng, chủ trị
Thanh nhiệt, giải độc. Chủ trị: Lỵ, nục huyết, tâm quý, sốt cao, đau mắt, hoàng đản, đầy hơi, viêm họng.
Cách dùng, liều lượng
Ngày dùng 4 – 12 g, dạng thuốc bột, thuốc viên và thuốc sắc.
Dùng ngoài (nước sắc, ngậm) trị lở loét ở miệng. Tán Thổ hoàng liên với đậu đỏ, đắp trị trĩ.
Kiêng kỵ
Thiếu máu, khó tiêu, chứng hàn.
DƯỢC ĐIỂN VIỆT NAM IV
Cây Thổ hoàng liên (Thalictrum foliolosum DC.)./.
Copy vui lòng ghi nguồn duovital.net

