PHỤ TỬ
Radix Aconiti lateralis
Phụ tử là rễ củ con đã phơi hay sấy khô của cây Ô đầu (Aconitum fortunei Hemsl. hoặc Aconitum carmichaeli Debx.), họ Hoàng liên (Ranunculaceae).
Mô tả
Rễ củ hình con quay, dài 3,5 – 5 cm, phía trên to, đường kính 1,5 – 2,5 cm, có vết nối với củ mẹ, không có vết của thân cây, phía dưới nhỏ dần. Mặt ngoài màu nâu đen, có nhiều nếp nhăn dọc, vòng quanh phần trên củ có một số nhánh lồi lên như cái bướu. Chất cứng chắc, khó bẻ. Vết cắt màu nâu xám. Vị nhạt, sau hơi chát và hơi tê lưỡi.
Vi phẫu
Lớp bần màu nâu xám. Mô mềm vỏ gồm 3 – 4 hàng tế bào thành mỏng. Nội bì gồm một hàng tế bào rõ. Trụ bì gồm 2 – 3 hàng tế bào đều đặn sát với nội bì. Trong mô mềm rải rác có những đám mạch rây. Tầng phát sinh libe-gỗ gồm 2 hàng tế bào xếp thành vòng khá rõ. Libe khá phát triển, những bó gỗ cấp II và cấp I xếp thành hình chữ V rộng. Tia ruột rộng và mô mềm ruột phát triển.
Bột
Mảnh bần tế bào hình chữ nhật, thành dày. Mảnh mô mềm tế bào gần tròn hoặc hơi dài, thành mỏng, chứa các hạt tinh bột. Rất nhiều hạt tinh bột hình đĩa, hình chuông, hình nhiều cạnh, đường kính 2 – 25 μm, có nhiều hạt kép đôi, kép ba. Mảnh mạch mạng, mạch vạch.
Định tính
A. Cho khoảng 2 g bột dược liệu vào một bình nón có nút mài, dung tích 50 ml, thấm ẩm bằng amoniac đậm đặc (TT). Sau 10 phút thêm 20 ml ether (TT), lắc đều, nút kín và để yên 30 phút, thỉnh thoảng lắc. Gạn lấy lớp ether, làm khan bằng natri sulfat khan (TT), lọc và bốc hơi trên cách thuỷ tới khô. Hoà tan cắn với 5 ml dung dịch acid sulfuric loãng (TT). Dùng dịch chiết này để làm các phản ứng sau:
Lấy 1 ml dịch chiết, thêm 2 giọt thuốc thử Mayer (TT) sẽ xuất hiện tủa trắng.
Lấy 1 ml dịch chiết, thêm 2 giọt thuốc thử Bouchardat (TT) sẽ xuất hiện tủa nâu.
Lấy 1 ml dịch chiết, thêm 2 giọt thuốc thử Dragendorff (TT) sẽ xuất hiện tủa đỏ cam.
B. Phương pháp sắc ký lớp mỏng (Phụ lục 5.4)
Bản mỏng: Silica gel G đã hoạt hoá ở 110oC trong 1 giờ hoặc bản mỏng silica gel tráng sẵn.
Dung môi khai triển: Cloroform – methanol (9 : 1).
Dung dịch thử: Lấy 2 g bột dược liệu, thấm ẩm bằng amoniac đậm đặc (TT), để yên 20 phút, chiết bằng cloroform (TT) trong bình Soxhlet đến kiệt alcaloid. Cất thu hồi dung môi. Cắn còn lại hoà tan trong 2 ml methanol (TT) dùng làm dung dịch thử.
Dung dịch đối chiếu: Hoà tan aconitin trong methanol (TT) để được dung dịch có nồng độ 1 mg/ml.
Cách tiến hành: Chấm riêng biệt lên bản mỏng 20 μl mỗi dung dịch trên. Sau khi triển khai sắc ký, lấy bản mỏng ra, để bay hết hơi dung môi ở nhiệt độ phòng. Phun thuốc thử Dragendorff (TT). Trên sắc ký đồ, dịch thử có 7 vết, trong đó phải có vết cùng màu và cùng giá trị Rf với vết aconitin của dung dịch đối chiếu.
Độ ẩm
Không quá 13% (Phụ lục 9.6, 1 g, 100oC, 4 giờ)
Tro toàn phần
Không quá 6% (Phụ lục 9.8).
Tạp chất
Không quá 1% (Phụ lục 12.11).
Kim loại nặng
Không quá 1 ppm Pb; 0,1 ppm Cd; 0,2 ppm Hg, 3,0 ppm As (Phụ lục 9.4.8, phương pháp 3, dùng 1 g mẫu thử).
Định lượng
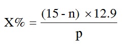
Cân chính xác khoảng 10 g bột dược liệu đã xác định độ ẩm, cho vào bình nón có nút mài dung tích 250 ml. Thêm 50 ml hỗn hợp ether – cloroform (3 : 1) và 4 ml amoniac đậm đặc (TT). Đậy nút, lắc kỹ, để qua đêm, gạn, lấy dịch lọc. Cho vào bã 50 ml hỗn hợp ether – cloroform (3 : 1), lắc kỹ, để 1 giờ, lọc, thu dịch lọc. Rửa bã 4 lần, mỗi lần với 15 ml hỗn hợp ether – cloroform (3 : 1), thu dịch rửa. Gộp dịch lọc và dịch rửa. Bốc hơi cách thuỷ ở nhiệt độ 50 – 60oC. Hoà tan cắn bằng 5 ml ethanol (TT). Thêm chính xác 15 ml dung dịch acid sulfuric 0,02 N (CĐ) và 15 ml nước cất mới đun sôi để nguội, 3 giọt đỏ methyl (TT). Chuẩn độ bằng dung dịch natri hydroxyd 0,02 N (CĐ) đến khi xuất hiện màu vàng.
1 ml dung dịch acid sulfuric 0,02 N tương đương với 12,9 mg alcaloid toàn phần tính theo aconitin (C34H47O11N).
Hàm lượng phần trăm alcaloid toàn phần (X%) của dược liệu khô kiệt tính theo công thức:
p: Khối lượng dược liệu khô kiệt (g).
n: Số ml dung dịch natri hydroxyd 0,02 N đã dùng.
Dược liệu phải chứa ít nhất 0,6% alcaloid toàn phần tính theo aconitin (C34H47O11N).
Chế biến
Thu hoạch vào mùa thu, khi trời nắng ráo, đào về, loại bỏ rễ củ mẹ và rễ tua, thu lấy rễ củ con (phụ tử), rửa sạch chế biến thành diêm phụ tử, hắc phụ tủ, bạch phụ tử.
A. Diêm phụ tử (còn gọi là Sinh phụ tử):
Rễ củ con, loại to, rửa sạch bỏ vào vại, thêm magnesi clorid, muối ăn và nước (cứ 100 kg Phụ tử dùng 40 kg magnesi clorid, 30 kg muối ăn, 60 lít nước), ngâm 10 ngày, lấy ra phơi khô rồi lại cho vào vại. Cứ thế, ngày phơi, tối ngâm nước bao giờ cũng sâm sấp trên củ. Thỉnh thoảng thêm magnesi clorid, muối ăn, nước để đảm bảo nồng độ ban đầu. Cuối cùng vớt ra phơi nắng để muối thấm tới phần giữa củ. Mặt ngoài thấy kết tinh trắng là được. Trước khi dùng thái lát mỏng 5 mm, rửa nước đến hết vị cay tê, đem phơi hoặc sấy khô (độc bảng B).
B. Hắc phụ tử:
Rễ củ con loại trung bình, rửa sạch, cho vào vại, thêm magnesi clorid, nước ngâm vài ngày (100 kg Phụ tử dùng 40 kg magnesi clorid, 20 lít nước). Sau đó đun sôi 2 – 3 phút, lấy ra rửa sạch, để cả vỏ, thái lát mỏng theo chiều dọc, dày khoảng 5 mm. Lại ngâm trong nước magnesi clorid. Cuối cùng thêm đường đỏ và dầu hạt cải để tẩm đến khi lát mỏng có mầu nước chè đặc. Sau đó rửa nước đến hết vị cay, phơi hoặc sấy khô.
C. Bạch phụ tử:
Rễ củ con loại nhỏ, rửa sạch cho vào vại, ngâm trong nước magnesi clorid vài ngày (pha như trên). Sau đó đun tới chín đến giữa củ, lấy ra bóc vỏ bỏ. Thái lát mỏng theo chiều dọc, dày khoảng 3 mm, rửa hết vị cay tê, hấp chín, phơi khô, xông hơi diêm sinh, rồi phơi đến khô.
Bảo quản
Để nơi khô mát, trong bình kín, tránh ẩm.
Phụ tử là thuốc độc Bảng A.
Diêm phụ, hắc phụ, bạch phụ là thuốc độc Bảng B.
Tính vị, qui kinh
Tân, cam, đại nhiệt, có độc. Vào các kinh tâm, thận, tỳ
Công năng, chủ trị
Hồi dương cứu nghịch, bổ hoả trợ dương, tán hàn, chỉ thống. Chủ trị: Chứng vong dương, thoát dương; chân tay lạnh, đau nhức xương khớp, lưng gối đau lạnh, chân tay phù nề
Cách dùng, liều lượng
Ngày 4 – 12 g, dạng thuốc sắc.
Kiêng kỵ
Phụ nữ có thai, âm hư nội nhiệt, trẻ em dưới 15 tuổi không được dùng. Không nên phối hợp với Bán hạ, Qua lâu, Bối mẫu, Bạch cập, Bạch liễm.
DƯỢC ĐIỂN VIỆT NAM IV
Phụ tử – Ô đầu (Aconitum fortunei Hemsl. hoặc Aconitum carmichaeli Debx.)./.
Copy vui lòng ghi nguồn duovital.net



