MÃ TIỀN – DĐVN IV – CHUYÊN LUẬN DƯỢC LIỆU

Xuất bản: UTC +7

MÃ TIỀN (Hạt)

Semen Strychni

Hạt đã phơi hay sấy khô lấy từ quả chín của cây Mã tiền (Strychnos nux – vomica L.) hoặc cây Hoàng Nàn (Strychnos Wallichiana Steud. ex DC.), họ Mã tiền (Loganiaceae)

Mô tả

Loài Strychnos nux – vomica L.: Hạt hình đĩa dẹt, hơi dày lên ở mép; một số hạt hơi méo mó, cong không đều, đường kính 1,2 – 2,5 cm, dày 0,4 – 0,6 cm, màu xám nhạt đến vàng nhạt. Mặt hạt phủ một lớp lông tơ bóng mượt mọc ngả theo chiều từ tâm hạt tỏa ra xung quanh. Rốn hạt là một lỗ chồi nhỏ ở giữa một mặt hạt. Sống noãn hơi lồi chạy từ rốn hạt đến lỗ noãn (là một điểm nhỏ cao lên ở trên mép hạt). Hạt có nội nhũ sừng màu vàng nhạt hay hơi xám, rất cứng. Cây mầm nhỏ nằm trong khoảng giữa nội nhũ phía lỗ noãn. Hạt không mùi, vị rất đắng.

Vi phẫu

Vỏ hạt có các tế bào biến đổi thành lông che chở đơn bào, thon dài, ngả theo chiều từ tâm hạt ra ngoài, gốc lông phình to. Lớp tế bào mô cứng dẹt, màng rất dày. Nội nhũ gồm những tế bào hình nhiều cạnh .

Bột

Rất nhiều lông che chở đơn bào dài và mảnh, thường bị gãy thành nhiều đoạn. Mảnh gốc lông phình to, thành dày. Mảnh tế bào mô cứng có ống trao đổi rõ. Mảnh nội nhũ gồm những tế bào hình nhiều cạnh thành dày, một vài tế bào chứa dầu và hạt aleuron.

Định tính

A. Trên mặt cắt ngang của dược liệu, nhỏ 1 giọt acid nitric đậm đặc (TT), mặt cắt sẽ nhuộm màu đỏ cam. Trên mặt cắt khác, nhỏ một giọt dung dịch amoni vanadat 1% trong acid sulfuric (TT), mặt cắt sẽ có màu tím.

B. Phương pháp sắc ký lớp mỏng (Phụ lục 5.4)

Bản mỏng: Silica gel G

Dung môi khai triển: Toluen – aceton – ethanol – amoniac đậm đặc (4 : 5 : 0,6 : 0,4)

Dung dịch mẫu thử: Cho 0,5 g bột dược liệu vào bình nón nút mài, thêm 5 ml hỗn hợp cloroform – ethanol (10 : 1) và 0,5 ml amoniac đậm đặc (TT), đậy nắp và lắc trong 5 phút, để yên trong 1 giờ, thỉnh thoảng lắc đều. Lọc, dung dịch làm dung dịch thử .

Dung dịch đối chiếu: dung dịch strychnin và brucin chuẩn có nồng độ 2 mg/ml trong cloroform

Cách tiến hành: Chấm lên bản mỏng 10μl mỗi dung dịch thử và dung dịch đối chiếu. Sau khi triển khai xong, lấy bản mỏng ra để khô ở nhiệt độ phòng. Phun thuốc thử  Dragendoroff (TT). Trên sắc ký đồ vết của dung dịch mẫu thử phải có cùng màu sắc và trị số Rf với vết có trên sắc ký đồ của dung dịch đối chiếu.

Độ ẩm

Không quá 12% (Phụ lục 9.6)

Tro toàn phần

Không quá 3,5% (Phụ lục 9.8 )

Tạp chất (Phụ lục 12.11)

Hạt lép và đen: Không quá 3,5%.

Các tạp chất khác: Không quá 0,2%.

Định lượng

Cân chính xác 0,4 g dược liệu qua rây 355 vào bình nón nùt mài 100 ml. Thêm chính xác 20 ml cloroform (TT) và 0,3 ml amoniac đậm đặc (TT). Đậy kín bình và cân. Đun hoàn lưu trên cách thủy trong 3 giờ, hoặc 45 phút trong bể siêu âm (350 W, 35 kHz). Cân bổ sung lượng cloroform hao hụt. Lắc đều, lọc nhanh vào bình nón.

Lấy chính xác 10 ml dịch lọc cho vào bình gạn 50 ml. Chiết 4 lần mỗi lần 10 mL dung dịch acid sulfuric 0,5 M. Lọc dịch acid qua giấy lọc đã thấm ướt trước bằng dung dịch acid sulfuric 0,5 M vào một bình định mức 50 ml. Rửa giấy lọc bằng một lượng nhỏ dung dịch acid sulfuric 0,5 M, gộp dịch rửa vào bình định mức và thêm cùng dung môi cho tới vạch, lắc kỹ. Hút chính xác 10 ml dung dịch này cho vào bình định mức 50 ml pha loãng vừa đủ bằng dung dịch acid sulfuric 0,5 M. Lắc đều.

Xác định độ hấp thụ của dung dịch ở bước sóng 262 nm và 300 nm (Phụ lục 4.1). Cốc đo dày 1 cm, so với mẫu trắng là dung dịch acid sulfuric 0,5 M.

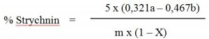
Hàm lượng strychnin được tính theo công thức:

Mã tiền

Trong đó:

a: độ hấp thu ở 262 nm

b: độ hấp thu ở 300 nm

m: khối lượng mẫu thử (g)

X: độ ẩm của dược liệu (g)

Hàm lượng  strychnin (C21H22N2O2) không ít hơn 1,2% tính theo dược liệu khô kiệt.

Chế biến

Thu hoạch vào mùa đông, hái những quả già, bổ ra lấy hạt, loại bỏ cơm quả, hạt lép, non hay đen ruột, phơi nắng hay sấy ở nhiệt độ 50 – 60o­C đến khô. Lấy hạt mã tiền sạch, sao với cát sạch cho phồng đến khi có màu nâu thẫm hoặc màu hạt dẻ sẫm. Khi ngoài vỏ có đường tách nẻ, thì đỗ hạt và cát ra; rây bỏ hết cát, cho hạt vào máy rây cho sạch lông nhung đã bị cháy.

Hạt mã tiền tẩm dầu vừng: Cho hạt mã tiền sạch vào nước hoặc nước vo gạo, ngâm một ngày đêm; hay cho hạt mã tiền vào nước đun sôi, lấy ra, lại ngâm nước rồi lại lấy ra vài lần như vậy cho đến khi thấy mềm. Lấy hạt, cạo bỏ vỏ hạt, bỏ cây mầm thái mỏng, sấy khô tẩm dầu vừng (mè) một đêm; lấy ra sao đen màu vàng, để nguội cho vào lọ đậy kín.

Bảo quản

Độc bảng A. Để nơi khô ráo, tránh mốc, mọt.

Tính vị, quy kinh

Khổ, hàn, có đại độc. Vào các kinh can, tỳ.

Công năng, chủ trị

Thông kinh hoạt lạc giảm đau, manh gân cốt, tán kết tiêu sưng. Chủ trị: Phong thấp, tê, bại liệt; đau khớp dạng phong thấp, nhức mỏi chân tay, đau dây thần kinh, sưng đau do sang chấn, nhọt độc sưng đau.

Cách dùng, liều lượng

Dùng Mã tiền chế.

Ngày dùng trung bình: Người lớn 0,05 g/ lần, 3 lần trong 24 giờ, liều tối đa 0,10 g/ lần, 3 lần trong 24 giờ. Trẻ em từ 2 tuổi trở xuống không được dùng. Trẻ em từ 3 tuổi trở lên, dùng 0,005 g cho mỗi tuổi. Dùng dưới dạng thuốc sắc hay thuốc bột. Không dùng quá liều quy định.

Dùng quá liều có thể ngộ độc: Chân tay máy động, kinh giật khó thở, nặng thì có thể hôn mê.

Kiêng kỵ

Không dùng cho phụ nữ có thai, cho con bú.

DƯỢC ĐIỂN VIỆT NAM IV

Cây Mã tiền (Strychnos nux – vomica L.)./.

Copy vui lòng ghi nguồn duovital.net

Để lại một bình luận

Email của bạn sẽ không được hiển thị công khai. Các trường bắt buộc được đánh dấu *