MÃ TIỀN

Xuất bản: UTC +7

CÂY MÃ TIỀN

Có nhiều loại mã tiền, trong đó có cây mã tiền: Strychnos nux – vomica L. và một số loài mã tiền khác có chứa strychnin, thuộc họ Mã tiền (Loganiaceae).

1.Đặc điểm thực vật

Cây gỗ, thân đứng cao 5 – 12 m. Vỏ màu xám có lỗ bì, cành non có gai. Lá mọc đối, hình trứng đầu nhọn, mặt trên xanh bóng, có 5 gân hình cung nổi rõ ở mặt dưới. Cụm hoa hình ngù mọc ở đầu cành. Hoa nhỏ hình ống màu vàng nhạt. Có 5 cánh hoa hàn liền thành 1 ống dài 1- 1,2 cm, nhị 5, dính ở trên ống tràng. Bầu hình trứng, nhẵn. Quả thịt, hình cầu, đường kính 3 – 5 cm, vỏ nhẵn bóng, khi chín có màu vàng cam, chứa 1 – 5 hạt hình đĩa dẹt như chiếc khuy áo, đường kính 2 – 2,5 cm, dày 4 – 5 mm, một mặt lồi, một mặt lõm, có lông mượt màu xám bạc.

cây mã tiền
cây mã tiền

Mùa hoa tháng 3-4, mùa quả tháng 5-8.

Ngoài Strychnos nux- vomica còn có các loài mã tiền dây leo, thân gỗ khác.

Strychnos vanprukii Craib. (= S. quadrangularis Hill., S. nitida Gagnep) Mã tiền cành vuông.

Dây leo, thân gỗ dài 5-20 m, có móc xếp từng đôi một, vỏ thân màu nâu. Cành non có 4 cạnh nhẵn. Lá hình mác, mọc đối, màu xanh bóng, có 3 gân. Cụm hoa hình chuỳ mọc ở kẽ lá. Hoa mẫu 5, tràng màu vàng nhạt. Quả thịt hình cầu, có đường kính 4- 5 cm, khi chín có màu vàng cam, có 1- 6 hạt.

* Strychnos ignatii Berginus (= S. hainanensis Merr et Chun): Cây đậu gió.

Dây leo, thân gỗ dài 5- 20m, dựa vào cây khác bằng móc đơn ở kẽ lá. Vỏ thân màu nâu hoặc xám nhạt, có nhiều lỗ bì. Cành tròn nhẵn, lá hình trứng hoặc thuôn, dài 6- 17 cm, rộng 3,5 – 7 cm, đầu nhọn, hai mặt lá nhẵn và có 3 gân toả ra từ gốc. Cụm hoa hình chuỳ mọc ở kẽ lá (thường ở những lá đã rụng), cuống hoa có lông. Hoa mẫu 5, tràng màu trắng hoặc vàng nhạt. Quả hình cầu, khi chín có màu vàng nâu, có 4- 10 hạt.

Strychnos axillaris Colebr. Mã tiền hoa nách.

Cây nhỏ mọc đứng hoặc leo cao 5- 20 m, có móc đơn ở kẽ lá. Lá có phiến đa dạng từ tròn đến thon, dài 3-9 cm, không lông trừ ở mặt dưới, có 3 gân chính. Cuống dài 2- 10 mm. Hoa mọc ở nách lá, cuống hoa ngắn, đài cao 1 mm. Tràng có ống cao 3,5 mm, nhị 5 bầu không lông. Quả hình cầu, đường kính 2 cm, khi chín có màu đỏ cam, có 1-2 hạt không lông

Strychnos umbellata (Lour.) Merr: Mã tiền hoa tán

Cây nhỡ mọc đứng hoặc leo, thân gai, cành tròn, không lông. Lá có phiến nhỏ dài 2,5- 8 cm, rộng 2 – 4,5 cm, tròn, hình tim hay thon ở gốc, gân gốc 5-7, đầu nhị không lông, cuống dài 1- 5 mm, không lông. Chuỳ hoa ở nách lá và ngọn cành, dài 3- 7 cm, hoa mẫu 4- 5, đài nhỏ, tràng trắng nhỏ, cao 4- 5 mm. Quả hình cầu, đường kính 1- 2 cm, có 1- 3 hạt.

Strychnos cathayensis Merr. (Mã tiền Trung quốc, mã tiền Cát Hải)

Cây nhỡ, leo. Cành màu nâu có lông mịn; phiến lá thon dài 6- 10 cm, rông 2- 4 cm, mặt trên nhẵn bóng, mặt dưới mờ, có ít lông hay không lông. Có 3gân từ gốc, cuống có lông mịn. Chùy hoa ở nách lá và ở đầu cành cao 3-4 cm, trục có lông, hoa mẫu 5. Quả mọng tròn. đường kính 1,5 – 3 cm, có 3- 7 hạt.

Chú thích: Theo Trần Công Khánh chi Strychnos ở nước ta có tới 15 loài.

2.Phân bố, thu hái, chế biến

* Phân bố

Cây mã tiền Strychnos nux- vomica L. có nhiều ở Ấn Độ, Sri lanka, Malaysia, Thái Lan, Bắc Australia, ở nước ta hiện nay mới thấy mọc hoang ở vùng rừng núi các tỉnh phía nam

Các loài mã tiền khác được phân bố ở hầu khắp các tỉnh vùng núi nước ta: Cao Bằng, Lạng Sơn, Tuyên Quang, Hoà Bình, Bắc Giang, Sơn La, Nghệ An, Hà Tĩnh, Quảng Trị… đặc biệt có nhiều ở các tỉnh Tây Nguyên, Tây Ninh, Đồng Nai, Long An, Kiên Giang. Riêng loài Strychnos cathayensis Merr. mới gặp ở tỉnh Quảng Ninh.

* Thu hái

Người ta thường thu hái hạt mã tiền từ những quả chín gặp gió rụng xuống làm hạt tung ra hoặc hạt do chim ăn quả bị bỏ lại hạt ngay dưới gốc cây. Hạt nhặt về được rửa sạch phơi khô.

cây mã tiền
cây mã tiền

* Chế biến

Trong y học cổ truyền chỉ sử dụng hạt mã tiền đã được chế biến (gọi là mã tiền chế). Có nhiều cách chế biến:

– Ngâm hạt mã tiền trong nước vo gạo khoảng 36 giờ cho tới khi mềm, lấy ra cạo bỏ vỏ ngoài và mầm, thái mỏng, sấy khô, tẩm dầu vừng một đêm, sao vàng đậm, cho vào lọ kín.

– Cho hạt mã tiền vào dầu vừng đun sôi cho đến khi hạt nổi lên thì vớt ngay. Thái nhỏ, sấy khô

– Ngâm hạt mã tiền vào nước vo gạo một ngày đêm, vớt ra rửa sạch cho vào nồi nấu với cam thảo trong 3 giờ (cứ 100g hạt cho 400ml nước và 20g cam thảo). Lấy dần ra bóc vỏ khi còn nóng và bỏ mầm, đun dầu vừng (300g) cho sôi, bỏ nhân vào khi thấy nổi lên thì vớt ra ngay, thái nhỏ 2-3 mm, sấy khô cho vào lọ kín.

3.Bộ phận dùng

Hạt (Semen Strychnin) đã phơi hoặc sấy khô.

cây mã tiền

cây mã tiền
cây mã tiền
cây mã tiền
cây mã tiền

Hạt hình đĩa dẹt, mép hơi lồi lên, đường kính 1,2-2,5 cm, dày 4-8 mm. Một số hạt hơi méo mó, hơi cong, không đều. Mặt xám nhạt, màu xám do có một lớp lông tơ mượt từ giữa mọc toả ra xung quanh. Giữa một mặt có một lỗ lồi nhỏ (rốn). Từ rốn có một đường hơi lồi (sống noãn) chạy đến một chỗ nhô lên ở mép hạt (lỗ noãn). Hạt gần như chỉ cấu tạo bởi nội nhũ sừng, rất cứng. Cây mầm rất nhỏ nằm trong khoang giữa nội nhũ. Không mùi, vị rất đắng.

Vi phẫu:

Biểu bì có tế bào biến đổi thành lông dài. Lông nằm ngang, gốc phình to, rất dày. Nội nhũ gồm tế bào hình nhiều cạnh, thành càng dày khi tế bào càng ở sâu. Trong tế bào có giọt dầu nhỏ và hạt aloron. Cây mầm cấu tạo bởi tế bào nhỏ thành mỏng.

Bột:

Màu xám vàng nhạt, không mùi, vị rất đắng. Soi kính hiển vi thấy: nhiều đoạn lông gẫy và chân lông hình nậm. Mảnh nội nhũ gồm tế bào bong, thành dày, một vài tế bào chứa dầu và alơron. Tế bào cứng của lớp trong vỏ, thành uốn lượn, có nhiều ống nhỏ.

4.Thành phần hóa học:

a.Hoạt chất trong hạt mã tiền Strychnos nux – vomica L. là alcaloid (2 – 5 %),. Trong đó gần 50% là strychnin, phần còn lại là brucin, còn khoảng 2 – 3% là các alcaloid phụ khác như α – colubrin, β – colubrin, vomicin, novacin, pseudostrychin….    

cây mã tiền

cây mã tiền

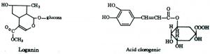
Ngoài alcaloid, trong hạt còn chất béo (4 – 5%), acid igasuric (= acid clorogenic), acid loganic, stigmasterin, cycloarterol và một glycosid là loganin (= loganosid) (loganin có nhiều trong cơm quả).

cây mã tiền

Trong lá có khoảng 2% và trong vỏ thân có trên 8% alcaloid nhưng chủ yếu là brucin.

b.Các loài mã tiền khác hiện đang khai thác có tỷ lệ alcaloid toàn phần cũng như tỷ lệ strychnine khác nhau. Hạt mã tiền dùng làm thuốc phải chứa 1,2% strychnin (DĐVN II).

 5.Kiểm nghiệm

a, Trên vi phẫu:

– Lấy một lát  cắt dược liệu, loại bỏ chất béo bằng ete dầu hỏa, nhỏ lên 1 giọt acid nitric bốc khói, sẽ nhuộm màu đỏ vùng nội nhũ (brucin).

– Trên một lá cắt khác, nhỏ một giọt thuốc thử sulfovanadic, tế bào nội nhũ sẽ nhuộm màu tím (strychnin).

b, Định tính strychnin và brucin trong bột dược liệu

Lấy 0,10 g bột dược liệu, làm ẩm bằng 2 giọt dung dịch ammoniac 6N rồi lắc với 10 ml chloroform trong 15 phút. Lọc. Bốc hơi dịch lọc tới khô. Hòa tan cắn còn lại trong 2 ml acid HCl 3N.

 Trộn phần dịch chiết còn lại trên với 5 ml nước và 2 ml NaOH 6N trong một ống nghiêm rồi lắc với 5 ml benzen, gạn lấy lớp benzen, lọc qua bông rồi bốc hơi cách thủy tới khô. Cắn còn lại hòa với 10 giọt H2SOđặc, rồi trộn với 0,020 g MnO2. Nếu có mặt strychnin sẽ xuất hiện màu xanh, màu này chuyển nhanh sang tím rồi sang đỏ.

Sắc ký lớp mỏng

–      Bản mỏng dung chất hấp phụ là silicagel G.

–            Hệ dung môi khai triển: toluen – aceton – ethanol – ammoniac đậm đặc (4 : 5 : 0,6 : 0,4) hoặc chloroform – methanol – ammoniac đậm đặc (50 : 9 :1).

–            Dung dịch chấm sắc kí: cho vào bình nón có nút mài 0,5 g bột dược liệu, thêm 5 ml hỗn hợp chloroform – ethanol (10 : 1) và 0,5ml ammoniac đậm đặc, đậy chặt nút và lắc trong 5 phút. Để yên 2 giờ, lọc. Lấy dịch lọc làm dung dịch chấm sắc ký.

–                  Dung dịch đối chứng: pha 2 mg strychnin vào 1 ml chloroform và 2 mg brucin vào 1 ml chloroform. Chấm riêng rẽ trên bản dung dịch thử và dung dịch chuẩn, mỗi dung dịch 10μl. Sau khi chạy qua hệ dung môi, lấy bản mỏng ra để khô rồi phun bằng thuốc thử hiện màu bằng T.T Dragendorff. Các vết thu được trong sắc kí đồ của dung dịch thử có vết tương ứng về màu sắc và vị trí của vết strychnin và brucin chuẩn.

  1. Định lượng

Dược điển Việt Nam II định lượng  strychnine trong hạt mã tiền bằng phương pháp đo quang. Cân chính xác khoảng 0,4 g dược liệu khô (qua rây có lỗ mắt rây 0,35 mm) vào một bình nón nút mài 100 ml, thêm chính xác 20 ml chloroform và 0,3 ml ammoniac đậm đặc, đậy chặt bình, cân. Đun hồi lưu trên cách thủy 3 giờ hoặc đặt vào một máy siêu âm (công suất 350W, tần số 35 kHz), chiết trong 40 phút. Cân, bổ sung khối lượng mất đi bằng cách thêm cloroform, trộn kĩ, lọc. Lấy chính xác 10 ml dịch lọc, cho vào 1 bình gạn, chiết 4 lần, mỗi lần với 10 ml dung dịch H2SO40,5M, lọc qua giấy lọc đã thấm ướt bằng dung dịch H2SO4 0,5M vào 1 bình định mức 50 ml và rửa giấy lọc với 1 lượng vừa đủ H2SO40,5M. Gộp các nước rửa vào bình định mức. Thêm dung dịch H2SO40,5M tới đủ thể tích, trộn kĩ. Tiến hành xác định độ hấp thụ của dung dịch ở bước sóng 262 nm và 300 nm. Tính hàm lượng strychnin theo công thức:

                  %X = {5(0,321a – 0,467b)/[w.(1-c)]}

a: độ hấp thu ở 262 nm                   b: độ hấp thụ ở 300 nm

w: khối lượng mẫu thử                   c: độ ẩm của dược liệu(g)

Theo qui định của DĐVN II, hàm lượng strychnin (C21H22N3O2) không được ít hơn 1,2% tính theo dược liệu khô kiệt.

 Ngoài ra có thể định lương strychnin theo phương pháp acid – base hoặc phương pháp so màu.

6.Tác dụng dược lý:

 Người ta cho tác dụng của mã tiền là do tác dung của strychnin.

 – Đối với hệ thần kinh trung ương và ngoại vi: có tác dụng kích thích với liều nhỏ và liều cao thì gây co giật.

Strychin có tác dụng kích thích thần kinh tương đối mạnh hơn trên tế bào vận động của hệ thần kinh trung ương, đặc biệt trên tủy sống. Nó kích thích những khả năng về trí não, làm tăng cảm giác về xúc giác, thính giác, khứu giác, vị giác và cơn đau.

– Đối với tim và hệ tuần hoàn: có tác dụng làm tăng huyết áp do làm co mạch máu ngoại vi. Strychnin là chất kích thích tim.

– Đối với dạ dày và bộ máy tiêu hóa: Tăng bài tiết dịch vị, kích thích tiêu hóa. Tuy nhiên nếu dùng luôn sẽ gây rối loạn tiêu hóa, rối loạn co bóp dạ dày.

*Độc tính:

Mã tiền rất độc. Khi bị ngộ độc có hiện tượng : ngáp, tăng bài tiết nước bọt, nôn mửa, sợ ánh sáng, mạch nhanh và yếu, chân tay cứng đờ,co giật nhẹ rồi đột nhiên có triệu chứng uốn ván nặng với hiện tượng co cứng hàm, lồi mắt, đồng tử mở rộng, bắp thịt co thắt gây khó thở, sau chết vì liệt hô hấp.

Với liều cao 60 – 90 mg strychin có thể gây chết người vì liệt hô hấp.

*Điều trị ngộ độc mã tiền:

Chủ yếu do phòng tránh co giật và trợ giúp hô hấp. Nhiều thuốc có thể dung để chống co giật như hít cloroform, uống cloral hydrat, nhưng tốt nhất là tiêm tĩnh mạch một barbituret như phenolbarbiturat hoặc Na amytal.

Ngoài ra,lượng nhỏ thuốc kiểu cura có thể dùng để giảm cường độ co giật. Đồng thời thực hiện hô hấp nhân tạo hoặc thở oxy. Rửa dạ dày bằng dung dịch KMnO4  1/10000 hoặc dung dịch acid tanic 2% hoặc nước chè đặc.

* Mã tiền được dùng làm nguyên liệu chiết xuất strychnin

Strychnin thường dung dưới dạng muối sulfat và nitrat để chữa tê liệt dây thần kinh, suy nhược cơ năng, liệt dương, dùng làm thuốc kích thích hành tuỷ trong các trường hợp giải phẫu não, giải độc thuốc ngủ barbituric. Liều dùng: uống 0,001 g/lần, 0,003g /24 giờ dưới dạng dung dịch, siro, potio. Hoặc tiêm dưới da 0,001g/ lần, 0,002g/giờ

* Mã tiền chưa chế biến thường chỉ dùng ngoài làm thuốc xoa bóp chữa nhức mỏi chân tay do thấp khớp, đau dây thần kinh, dùng dạng cồn thuốc, dùng riêng hoặc chế với ô đầu, phụ tử.

Mã tiền đã chế biến theo y học cổ truyền được dùng để chữa tiêu hóa kém, nhức mỏi tay chân,  đau dây thần kinh, bại liệt, liệt nửa người, chó dại cắn.

Liều dùng trung bình của người lớn là 0,05 g 1 lần 0,015g: 24 giờ. Liều dùng tối đa người lớn là 0,10 g 1ần 0,3g: 24giờ. Trẻ em dưới 3 tuổi không được dùng, từ 3 tuổi trở lên 0,005g. Dùng dưới dạng thuốc sắc hoặc thuốc bột, không dung quá liều qui định.

Copy xin vui lòng ghi nguồn duovital.net

Để lại một bình luận

Email của bạn sẽ không được hiển thị công khai. Các trường bắt buộc được đánh dấu *