LÔ HỘI – DĐVN IV – CHUYÊN LUẬN DƯỢC LIỆU

Xuất bản: UTC +7

LÔ HỘI (Nhựa)

Aloe

Chất dịch đã cô đặc và sấy khô, lấy từ lá cây Lô hội (chủ yếu từ Aloe vera L. và Aloe ferox Mill.), họ Lô hội (Asphodelaceae).

Mô tả

Khối nhựa có kích thước không đồng đều, màu nâu đen bóng, dễ vỡ vụn, chỗ vỡ óng ánh như thuỷ tinh. Mùi hơi khó chịu, vị đắng nồng.

Định tính

A. Lấy 0,5 g bột dược liệu cho vào bình nón 250 ml, thêm 50 ml nước, lắc kỹ trong 5 phút. Lọc (dung dịch A).

Lấy 5 ml dung dịch A cho vào ống nghiệm và thêm 0,2 g dinatri tetraborat (TT), đun nóng đến tan. Lấy 1 ml dịch trong ống nghiệm pha loãng với 30 ml nước cất, lắc kỹ. Quan sát dưới ánh sáng đèn tử ngoại ở bước sóng 365 nm sẽ có huỳnh quang màu vàng sáng xuất hiện.

Lấy 2 ml dung dịch A cho vào ống nghiệm, thêm 2 ml nước bão hoà brom (TT), xuất hiện tủa màu vàng.

B. Lấy 0,1 g bột dược liệu cho vào bình nón dung tích 100 ml. Thêm 5 ml dung dịch sắt (III) clorid 3% (TT) và 5 ml dung dịch acid hydrocloric 10% (TT). Lắc đều rồi đun trên cách thuỷ 10 phút, để nguội, thêm 15 ml ether ethylic (TT), lắc kỹ trong 1 phút. Gạn lấy lớp ether và lắc dịch chiết ether với 5 ml dung dịch amoniac 10% (TT). Lớp amoniac có màu hồng tím.

C. Phương pháp sắc ký lớp mỏng (Phụ lục 5.4).

Bản mỏng: Silica gel G, dày 0,25 mm đã hoạt hoá ở 110oC trong 1 giờ.

Hệ dung môi khai triển: Nước : ethyl acetat : methanol (13 : 100 : 17).

Dung dịch thử: Lấy 0,5 g bột dược liệu, thêm 20 ml methanol (TT), đun sôi trong cách thuỷ, lọc. Lắc trong vài phút, lọc.

Dung dịch đối chiếu: Lấy 25 mg barbaloin, hòa tan trong methanol (TT) và pha loãng đến 10 ml với cùng dung môi.

Cách tiến hành: Chấm riêng rẽ 10 μl mỗi dung dịch trên lên bản mỏng. Khai triển sắc ký khoảng 10 cm, lấy bản mỏng ra để khô trong không khí. Phun dung dịch kali hydroxyd 10% trong methanol (TT). Quan sát dưới ánh sáng tử ngoại ở bước sóng 365 nm, trên sắc ký đồ: dung dịch thử phải không có vết có huỳnh quang màu tím, phải cho vết có huỳnh quang và giá trị Rf tương ứng với vết trên sắc ký đồ của dung dịch đối chiếu.

Độ ẩm

Không quá 12,0% ( Phụ lục 9.6, 1,000 g, 105oC, 4 giờ).

Tro toàn phần

Không quá 2,0% (Phụ lục 9.8)

Định lượng

Cân chính xác khoảng 0,4 g bột dược liệu đã qua rây có kích thước mắt rây 0,18 mm vào một bình nón dung tích 250 ml. Làm ẩm dược liệu với 2 ml methanol (TT) và thêm 5 ml nước cất đã đun nóng 60oC, lắc đều. Thêm 75 ml nước và đun trong cách thuỷ 60oC trong 30 phút, thỉnh thoảng lắc. Để nguội, lọc vào bình định mức có dung tích 1000 ml, tráng bình nón và rửa giấy lọc với 20 ml nước và hứng vào bình định mức trên. Thêm nước tới vạch. Trộn đều. Lấy chính xác 10 ml dịch chiết trên cho vào một bình cầu có dung tích 100 ml. Thêm 1 ml dung dịch sắt (III) clorid 60% (TT) và 6 ml acid hydrocloric (TT).

Đun hồi lưu trong cách thuỷ 4 giờ.

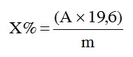
Để nguội, rồi chuyển toàn bộ dung dịch vào một bình gạn, rửa bình cầu lần lượt bằng 4 ml nước, 4 ml dung dịch natri hydroxyd 1 N (TT) và 4 ml nước. Gộp tất cả dịch các lần rửa vào bình gạn trên. Chiết hỗn hợp trên với ether ethylic (TT) ba lần, mỗi lần 20 ml. Gộp tất cả dịch chiết ether vào một bình gạn khác và rửa 2 lần với nước, mỗi lần 10 ml. Gạn lớp ether vào một bình định mức có dung tích 100 ml. Thêm ether ethylic (TT) tới vạch. Lấy chính xác 20 ml dung dịch ether ethylic cho bốc hơi tới cắn trên cách thuỷ. Hoà tan cắn bằng 10 ml dung dịch magnesi acetat 0,5 % trong methanol (TT). Đo độ hấp thụ ở bước sóng 512 nm (Phụ lục 4.1), dùng methanol (TT) làm mẫu trắng.

Lô hội

A: Độ hấp thụ đo được ở bước sóng 512 nm.

m: Lượng bột dược liệu đã trừ độ ẩm tính theo (g).

X: Hàm lượng dẫn chất hydroxyanthracen tính theo barbaloin.

Nhựa của loài Aloe có hàm lượng dẫn chất hydroxyanthracen không dưới 18% tính theo barbaloin (C21H22O9) đối với dược liệu khô kiệt.

Chế biến

Cắt lá cây, ép lấy chất dịch ở trong, đem cô khô.

Bảo quản

Để nơi khô mát, trong lọ kín.

Tính vị, quy kinh

Khổ, hàn. Vào các kinh can, vị, đại trường.

Công năng, chủ trị

Thanh can nhiệt, thông tiện. Chủ trị: Can có thực nhiệt, đại tiện bí, tiểu nhi cam tích kinh phong, can nhiệt, bế kinh, làm giảm độc ba đậu.

Cách dùng, liều lượng

Ngày dùng 0,06 – 0,20 g. Dùng để tẩy, mỗi lần 1 – 2 g. Dạng thuốc sắc hoặc hoàn tán.

Kiêng kỵ

Tỳ vị suy yếu, đang ỉa lỏng hoặc phụ nữ có thai không dùng.

DƯỢC ĐIỂN VIỆT NAM IV

Cây Lô hội (Aloe vera L., Aloe ferox Mill.)./.

Copy vui lòng ghi nguồn duovital.net

Để lại một bình luận

Email của bạn sẽ không được hiển thị công khai. Các trường bắt buộc được đánh dấu *