Dược liệu chứa Alcaloid
DƯỢC LIỆU Ô ĐẦU
-
Tên khoa học:
Tên: Aconitum fortunei
Họ Việt Nam: Họ Hoàng liên
Họ Latin: Ranunculaceae
-
Phân bố:
Cây mọc hoang ở vùng núi cao, nơi ẩm mát, rải rác một số nơi thuộc các tỉnh Lào Cai (Sapa), Hà Giang, Nghĩa Lộ. Cây cũng mọc hoang và được trồng ở Châu Âu, Trung Quốc (Tứ Xuyên, Vân Nam, Thiểm Tây…)
-
Bộ phận dùng:
Rễ củ – Radix Aconiti.
-
Thành phần hoá học chính:
Alcaloid (là Aconitin).
Định tính: Dịch chiết dược liệu lần lượt cho phản ứng với các thuốc thử chung của Alcaloid.
Thuốc thử Mayer (TT) sẽ cho tủa màu trắng đục.
Thuốc thử Bouchardat (TT) sẽ cho tủa nâu.
Thuốc thử Dragendorff (TT) cho tủa đỏ cam.
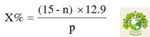
Định lượng: Chuẩn độ bằng dung dịch natri hydroxyd 0,02 N (CĐ).
p: Khối lượng dược liệu khô kiệt (g).
n: Số ml dung dịch natri hydroxyd 0,02 N đã dùng.
-
Phương pháp chế biến và bảo quản:
Chế biến: Thu hoạch từ tháng 6 đến tháng 8, trước khi hoa nở, đào lấy rễ củ, bỏ rễ con, rễ tua, rửa sạch, phơi hoặc sấy khô.
Bảo quản: Độc bảng A. Để nơi khô ráo, tránh sâu mọt.
-
Công dụng, cách dùng và liều lượng:
Công dụng: Thường dùng trị nhức mỏi chân tay, tê bại, đau khớp, sai khớp…
Cách dùng và liều lượng:
Ô đầu chưa chế biến: Dùng ngoài xoa bóp dưới dạng thuốc ngâm rượu, không được uống.
Ô đầu đã chế biến: theo Y học dân tộc cổ truyền, ngày dùng 4 – 12g dạng thuốc sắc, có khi còn dùng liều cao hơn nữa. Thường phối hợp với nhân sâm, can khương tuỳ theo kinh nghiệm của thầy thuốc.
Dược liệu Ô đầu – Aconitum fortunei, Ranunculaceae.
Tham khảo thêm tại đây
Chuyên đề dược liệu tốt nghiệp./.
Copy vui lòng ghi nguồn duovital.net



