Dược liệu chứa Alcaloid
DƯỢC LIỆU MÃ TIỀN
1. Tên khoa học:
Tên: Strychnos nux-vomica
Họ Việt Nam: Họ Mã tiền
Họ Latin: Loganiaceae
2. Phân bố:
Strychnos nux-vomica mọc nhiều ở Ấn Độ, Malaysia,Thái lan. Mọc hoang ở các vùng núi nước ta, có nhiều ở vùng núi phía nam. Các loài Mã Tiền khác được phân bố hầu khắp các tỉnh miền núi nước ta ở cả hai miền Nam, Bắc.
3. Bộ phận dùng:
Hạt của cây Mã tiền.
4. Thành phần hoá học chính:
Alcaloid chiếm 2 – 5%, chủ yếu là Strychnin (khoảng 50%) và Brucin.
5. Phương pháp kiểm nghiệm:
Định tính:
A. Định tính với acid nitric đậm đặc (TT) và dung dịch amoni vanadat 1%trong acid sulfuric (TT).
B. Phương pháp sắc ký lớp mỏng
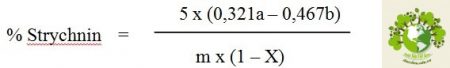
Định lượng: Đo độ hấp thụ của dung dịch ở bước sóng 262 nm và 300 nm
Xác định hàm lượng Strychnin:
a: độ hấp thụ ở 262 nm
b: độ hấp thụ ở 300 nm
m: khối lượng mẫu thử (g)
X: độ ẩm của dược liệu (g)
Hàm lượng strychnin (C21H22N2O2) không ít hơn 1,2% tính theo dược liệu khô kiệt.
6. Phương pháp chế biến và bảo quản:
Chế biến:
Thu hái hạt mã tiền về rửa sạch, phơi khô.
Sao cách cát: Ngâm mềm → Cạo bỏ vỏ và mầm → Sao cát đến khi có màu cánh gián
Rán với dầu thực vật: Ngâm hạt trong nước vo gạo → Rửa, cạo bỏ vỏ và mầm → Rán với dầu đến màu cánh gián.
Bảo quản: Độc bảng A. Để nơi khô ráo, tránh mốc mọt.
7. Công dụng, cách dùng và liều lượng:
Công dụng:
– Mã tiền chưa chế: dùng ngoài dưới dạng thuốc xoa bóp, chữa nhức mỏi tay chân do thấp khớp, đau dây thần kinh. Dùng dạng cồn thuốc, dùng riêng hoặc thường phối hợp với Ô đầu, Phụ tử.
– Mã tiền chế: Chữa đau nhức, sưng khớp, tiêu hóa kém, suy nhược thần kinh, bại liệt, liệt nửa người, chó dại cắn.
– Làm nguyên liệu chiết xuất Strychnin và Brucin dùng trong Y học hiện đại.
Cách dùng và liều lượng: Liều uống tối đa 0,10g/lần; và 0,30g/24 giờ. Trẻ em dưới 3 tuổi không được dùng.
Dùng riêng hoặc phối hợp với các vị thuốc khác. Dùng dưới dạng thuốc bột hoặc thuốc sắc. Viên Hydan có Mã tiền chế, Hy thiêm, Ngũ gia bì dùng chữa thấp khớp.
Độc tính: Mã tiền rất độc. Khi bị ngộ độc có hiện tượng ngáp, tăng tiết nước bọt, nôn mửa, sợ ánh sáng, mạch nhanh và yếu. Chân tay cứng đờ, co giật nhẹ rồi đột nhiên có triệu chứng như uốn ván nặng. Với hiện tượng co cứng hàm, lồi mắt, đồng tử mở rộng, bắp thịt co thắt gây khó thở, sau chết vì liệt hô hấp. Với liều 60 – 90mg strychnin có thể gây chết người do liệt hô hấp.
Dược liệu Mã tiền – Strychnos nux-vomica, Loganiaceae.
Tham khảo thêm tại đây
Chuyên đề dược liệu tốt nghiệp./.
Copy vui lòng ghi nguồn duovital.net



