CÂY THUỐC PHIỆN (Hoa Anh Túc)
| Tên khoa học của cây thuốc phiện | Papaver somniferum L. |
| Họ Thuốc phiện | Papaveraceae. |
Cây thuốc phiện còn có tên: A phiến, a phù dung, cổ tử túc, anh túc.
Đặc điểm thực vật và phân bố
Cây thảo, sống hàng năm, cao 0,7- 1,5 m, ít phân nhánh, thân mọc thẳng. Lá mọc cách, lá phía dưới có cuống ngắn, lá phía trên không cuống, mọc ôm vào thân, mép có răng cưa. Lá hình trứng dài 6-50 cm, rộng 3,5- 30 cm, đầu trên nhọn, ở phía dưới cuống tròn hoặc hơi hình tim. Gân lá nổi rõ ở mặt dưới.

Hoa to đơn độc mọc ở đầu thân hoặc đầu cành. Có cuống dài 12- 14cm, đài hoa gồm 2 lá đài màu xanh sớm rụng khi hoa nở, lá đài dài 1,5 – 2 cm. Tràng 4cánh, dài 5-7 cm màu trắng hay tím hoặc hồng. Nhị nhiều, bao quanh một bầu có một ngăn gồm15- 20 lá noãn dính liền nhau thành hình cầu.

Quả là một nang hình cầu hoặc hình trứng dài 4-7 cm, đường kính 3-6 cm, ở đỉnh có núm, quả có cuống phình ra ở chỗ nối. Quả chín có màu vàng xám. Hạt nhỏ và nhiều (25000-30000 hạt/quả), hơi giống hình thận, dài 0,5 – 1 mm, trên mặt có vân hình mạng, màu xám hay vàng nhạt hoặc xám đen.
Toàn thân cây chỗ nào bấm cũng có nhựa mủ màu trắng, để lâu chuyển thành nâu đen.
Thuốc phiện là cây được trồng từ lâu đời, nguồn gốc có lẽ từ các nước vùng Địa Trung Hải. Căn cứ vào màu sắc của hoa, hạt, hình dáng và kích thước của quả, theo lối cổ điển người ta phân biệt ra các thứ sau:
– Thứ nhẵn (Papaver somniferum var. glabrum Bois): Hoa tím, quả hình cầu rộng, hạt đen tím, trồng ở Trung Á.
– Thứ trắng (Papaver somniferum var. album DC.) Hoa trắng, quả hình trứng, hạt trắng vàng nhạt. Trồng tại Ấn độ và Iran.
– Thứ đen (Papaver somniferum var. nigrum DC.) Hoa tím, quả hình cầu ở phía dưới, mở lỗ trên mép đầu nhụy, hạt màu xám, Trồng ở châu Âu.
– Thứ lông cứng (Papaver somniferum var. setigerum DC.) Hoa tím, cuống hoa và lá phủ đầy lông cứng. Mọc bán hoang dại ở miền nam châu Âu.
Trong các thứ này, thứ trắng thường được trồng để lấy nhựa, thứ đen để lấy dầu. Trên thực tế người ta vẫn chích lấy nhựa từ quả chưa chín hoặc lấy dầu từ hạt quả chín già của 2 thứ này. Ngày nay người ta lai giống tạo ra các loài có hàm lượng alcaloid cao và thu thu được dầu của hạt.
Thuốc phiện được trồng nhiều ở vùng khí hậu ôn đới và nhiệt đới từ lâu, nhưng vì là cây cho nhựa gây nghiện nên nhiều chính phủ đã cấm trồng thuốc phiện tự do; ở nhiều nước, nhà nước quản lý trồng và sản xuất thuốc phiện. Các nước trồng nhiều thuốc phiện Ấn Độ, Trung Quốc, Thổ Nhĩ Kỳ, Nam Tư, Nga, Mianma, Lào …
Tại Đông Nam Á, Tam giác Vàng (biên giới ba nước Lào, Thái Lan, Myanma), nổi tiếng là nơi sản xuất thuốc phiện lớn nhất thế giới. Ở Việt Nam, trước đây, vùng cao phía bắc Việt Nam trồng cây thuốc phiện vào vụ đông, thu hoạch nhựa đầu vụ xuân. Từ 1995, Việt Nam cấm trồng cây Anh Túc và thay thế bằng cây dược liệu, cây ăn quả, cây công nghiệp. Hiện nay, về cơ bản thuốc phiện đã bị xoá bỏ, tuy nhiên, còn có một số địa phương có tình trạng tái trồng cây thuốc phiện.
Trồng và thu hái
Thuốc phiện mọc tốt tại các vùng khí hậu mát. Cây chịu được khí hậu lạnh (từ 5-100 C) và nóng bức. Nhưng những tuần đầu tiên của sự sinh trưởng thời tiết phải mát và ẩm, sau đó khí hậu nóng và khô thì cây mới phát triển tốt, ở nước ta cây phù hợp với khí hậu vùng núi có độ cao 800 – 2000 m. Sau khi phơi khô, lá Coca được bó thành từng bó, để trong vòng 3 ngày trước khi đưa ra thị trường hoặc làm nguyên liệu cho quá trình sản xuất cocain.
Ở các nước có mùa đông giá lạnh người ta thường gieo hạt vào mùa xuân, có nơi gieo hạt vào cuối mùa thu cho tuyết rơi xuống bảo vệ hạtqua mùa đông và thu hoạch vào cuối tháng 7 đầu tháng 8. Ở nước ta thường gieo vào cuối tháng 10 đầu tháng 11, thu hoạch vào cuối tháng 3 đầu tháng 4.
Trước đây các nước châu Âu thường trồng loại cây thuốc phiện cho dầu để ép lấy dầu từ hạt và chiết alcaloid từ quả chín. Mặc dù hàm lượng alcaloid thấp (quả chín của cây thuốc phiện chưa qua giai đoạn chọn giống chỉ có 0,10 – 0,20% morphin trong khi đó nhựa thuốc phiện chưa 5 – 15% morphin) nhưng vì việc chích quả lấy nhựa đòi hỏi nhiều nhân công tốn kém.
Các nước châu Á thường trồng cây thuốc phiện để chính lấy nhựa. Ngày nay người ta thường trồng các loài thuốc phiện đã được cải tạo do các biện pháp trồng trọt và lai chọn giống có tỷ lệ alcaloid cao mà hoạt chất chính là morphin và đạt những yêu cầu về việc thu hái bằng cơ giới. Theo Mothes, có thể tạo ra những loài thuốc phiện chỉ giàu một alcaloid cần thiết nào đó (morphin, codein, thebain… ).
Thu hoạch
Tùy theo mục đích trồng để lấy nhựa hay lấy dầu và chiết xuất alcaloid từ quả mà có sự thu hái khác nhau.
a/Lấy nhựa
Khi quả còn xanh bắt đầu chuyển sang màu vàng nhạt, phải chính lấy nhựa vào lúc trời khô ráo. Dụng cụ để rạch có 3 – 5 răng hình dáng khác nhau tùy theo địa phương, người ta rạch các vết ngang hay dọc hoặc nghiêng, hình xoắn ốc tùy theo từng nơi. Vết rạch phải đủ sâu tới các ống nhựa mủ của vỏ hoặc khi gặp mưa nước sẽ theo chỗ rạch vào trong quả làm thối hạt.
Có thể rạch một lần hay nhiều lần trên một quả. Người ta rạch nhựa vào buổi sáng, buổi chiều lấy cạo lấy nhựa. Hoặc rạch nhựa vào buổi trưa hay chiều hôm trước đến sáng sớm ngày hôm sau cạo lấy nhựa khô. Nói chung, sau khi rạch trên quả phải để 8 – 12 giờ cho nhựa tiếp xúc với không khí và ánh sáng làm khô dần. Sau đó dùng dao hoặc dụng cụ đơn giản bằng gỗ hay bằng sắt lấy nhựa quánh đen phơi nắng cho khô. Nhựa thuốc phiện có màu sẫm khi cứng lại; người ta đóng thành bánh có kích thước khác nhau (0,3 – 2 kg) và bọc bằng lá thuốc phiện hay bọc giấy đỏ … Ngay nay nhiều nơi người ta thường trộn nhựa của nhiều đợt lấy khác nhau để có chất lượng đều.
Mỗi quả thuốc phiện có khoảng 0,02g nhựa. Sản lượng tùy vào khí hậu và những yếu tố ảnh hưởng khác, chúng giao động trong khoảng 5 – 20 kg nhựa cho mỗi hecta. Năng suất trung bình ở ta thường đạt 10 – 15kg nhựa/1ha. Hàm lượng morphin trong nhựa thường là 12%.
b/ Thu hoạch quả để chiết alcaloid và lấy hạt ép dầu.
Việc chích nhựa như trên phải làm bằng tay tốn nhiều nhân công. Từ năm 1927 Kabay đã đem trồng thử tại Hungari để lấy quả chín chiết xuất alcaloid. Phương pháp này cũng có năng suất đảm bảo việc khai thác đem lại lợi ích kinh tế. Có nhiều ý kiến khác nhau về việc thu hoach tối ưu. Có tác giả cho rằng hàm lượng morphin đạt tối đa (0,3 – 0,4%) khoảng 10 ngày trước khi hạt chín hoàn toàn, thời tiết khô ráo thì hàm lượng alcaloid gần như không đổi, nhưng khi trời mưa thì giảm xuống đáng kể. Nhưng người ta ưa thu hoạch quả chín khi thân và lá đã khô vì hạt trong quả có hàm lượng dầu tối đa và đỡ công phơi sấy, đồng thời tránh bảo quản khối lượng lớn nguyên liệu như khi thu hoạch cây còn xanh.
Việc thu hái còn dùng tay ở những nơi trồng ít, còn những nơi trồng lớn thường dùng máy gặt đập. Năng suất đạt 300 – 500 kg vỏ quả và 300 – 500 kg hạt/ha.
Bộ phận dùng
Nhựa thuốc phiện lấy từ quả chín (Opium)

Quan sát bên ngoài: Bánh hình tròn hay hình vuông, có khi hình chữ nhật. Mặt ngoài màu nâu đen, đôi khi còn sót những mảnh lá hay vỏ quả thuốc phiện. Mặt cắt mịn hay hơi lổn nhổn. Khi còn mới thì mềm, dẻo, để lâu thì cứng, giòn. Mùi đặc biệt. vị đắng.
Soi kính hiển vi: Nghiền ít bột thuốc phiện trong dung dịch cloral hydrat 10%, soi kính hiển vi sẽ thấy: Những hạt nhỏ màu nâu, đứng riêng lẻ hay tụ thành đám, to nhỏ không đều (nhựa mủ). Mảnh vỏ quả ngoài gồm tế bào hình nhiều cạnh, có thành dày màu trắng nhạt. Khoang (lumem) hình sao trong chứa một chất màu nâu
Quả (Fructus Papaveris):
– Quả chưa lấy nhựa dùng cho công nghiệp chiết xuất alcaloid có kèm theo đoạn cuống dài 10 – 12 cm.
– Quả hái sau khi lấy nhựa (anh túc xác, cù túc xác).
Tùy theo thứ mà có hình dạng và kích thước khác nhau, hình trứng hoặc tròn có lỗ mở hay không. Từ thành quả nang vào trong có 8 – 12 vách phân chia quả thành các ô không hoàn chỉnh mang hạt.
Quả thu hái trước khi chín hoàn toàn có màu vàng xám nhạt. Ở trạng thái khô quả không có mùi, vị hơi đắng. Phải loại hạt trước khi đem dùng trong ngành Dược.
Cắt ngang quả sẽ thấy: Vỏ quả ngoài có tế bào nhỏ, bên ngoài phủ một lớp cutin dày. Vỏ quả giữa bao gồm các tế bào thành bằng cellulose. Vỏ quả trong bào gồm các tế bào dẹt và lấm chấm kéo dài tới các lá noãn với mô mềm hơi xốp. Trước mỗi tấm lá noãn trong vỏ quả giữa có một bó libe gỗ với các sợi trụ bì, có các ống nhựa mủ xếp thành mạng lưới.
Hạt (Semen Papaveris)

Hạt hình thận, rất nhỏ, đường kính khoảng 0,1 – 0,2 mm, cân nặng khoảng 0,1 – 2mg, mặt trên hạt có hình mạng. Màu vàng nhạt, trắng, xám, nâu hoặc đen tùy theo từng thứ thuốc phiện. Nội nhũ có nhiều dầu và alơron, phôi rất nhỏ, hạt không có mùi vị “dầu”.
Lá
Đôi khi cũng được dùng ngoài làm thuốc giảm đau.
Thành phần hóa học
– Lá: Chỉ có vết alcaloid (0,02 – 0,04%).
– Quả: Tỷ lệ alcaloid thay đổi tùy theo nòi.
– Trong quả khô thường có 0,02 – 0,03% alcaloid toàn phần, bằng con đường chọn giống người ta có thể nâng hàm lượng morphin lên ới 0,8%.
– Ở những quả khô đã lấy nhựa thì hàm lượng alcaloid nhất là morphin chỉ còn lại rất ít.
– Hạt: Không có alcaloid, chứa 15% glucid, 20% protein, 40 – 45% dầu. Dầu béo gồm các glycerid của các acid béo không no.
– Nhựa thuốc phiện: Hoạt chất trong nhựa thuốc phiện là các lcaloid (20 – 30%) ở dạng muối (meconat, lactat,…). Tới nay đã phân lập được khoảng 40 alcaloid. Căn cứ vào cấu tạo hóa học người ta xếp vào nhiều nhóm.
Nhóm morphinan
– Alcaloid chính là morphin: 6,8 – 20,8 % (thường điểu chỉnh tới 10% trong bột thuốc phiện dược dụng).
– Codein: 0,3 – 3%
– Thebain: 0,3 – 1%
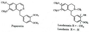
Nhóm benzylisoquinolin
– Papaverin: 0,8 – 1,5%
– Laudanin:
– Laudanosin:
Nhóm platisoquinolin
– Noscapin (= Narcotin): 1,4 – 12,8%
– Narcotolin
Nhóm protopin
– Protopin (= Fumarin)
– Cyptopin (Cryptocavin)
Ngoài alcaloid, trong nhựa thuốc phiện còn có:
– Các acid hữu cơ: Acid meconic (3 – 5%), acid lactic (1 – 2%), acid acetic, fumaric, vanilic, gần đây người ta còn thấy có acid cetonic (oxalcetic, pyruvic, cetoglutaric).
Trong các acid hữu cơ này có acid meconic cần chú ý. Nó cho màu đỏ máu với muối sắt (III), phản ứng này dùng để định tính nhựa thuốc phiện.
– Ngoài ra còn có nước (5 – 10%), chất vô cơ (5 – 6%), đường, chất nhày và pectin (20%) ít protid và acid amin tự do, lipid, chất cao su, tanin, men…
Chiết xuất alcaloid
Chiết xuất morphin từ nhựa thuốc phiện
Có nhiều phương pháp tùy theo từng tác giả
Theo phương pháp của Thiboumery: Chiết nhựa thuốc phiện bằng nước nóng. Rót dịch chiết vào sữa vôi nóng, calci morphinat tan trong nước vôi thừa, còn tạp chất thì tủa xuống. Lọc, đun sôi dịch lọc và thêm amoni clorid sẽ có morphin base tủa xuống. Rửa tủa bằng nước, rồi hòa tan trong acid HCl sẽ có morphin hydroclorid, sau cho kết tinh lại nhiều lấn sẽ thu được morphin hydroclorid tinh khiết.
Ngoài ra còn nhiều phương pháp khác. Hiện nay người ta còn dùng các nhựa trao đổi ion, morphin gắn vào nhựa anion có tính kiềm mạnh (anioit), sau đó đem ngâm tách bằng acid loãng.
Chiết từ quả khô chưa chích nhựa:
Theo phương pháp Kabay: Lấy quả thuốc phiện khô có đoạn cuống 10 – 12cm xay nhỏ. Chiết bột dược liệu bằng nước nóng, cô dịch chiết thành cao đặc, chiết lại bằng cồn, cất thu hồi dung môi và tủa morphin bằng amoni sulfat ở môi trường kiềm có benzen. Lấy riêng tủa morphin. Có một số alcaloid khác như codein, narcotin và thebain… hòa tan trong benzen. Tách lớp benzen rồi lần lượt làm kết tủa để lấy riêng codein, narcotin và thebain bằng cách tạo muối thích hợp.
Ngoài ra người ta còn phân lập morphin và các alcaloid phụ bằng phương pháp trao đổi ion.
Kiểm nghiệm
Định tính:
Ngâm 0,5g thuốc phiện trong 10ml nước, lọc. Thêm vào dịch lọc vài giọt acid hydrocloric đậm đặc (TT) và 10 ml ether. Lắc và để yên. Gạn lấy lớp ether cho vào một ống nghiệm. Thêm 2 – 3 ml nước có pha một giọt dung dịch FeCl3 5% (TT). Lắc và để yên lớp nước sẽ xuất hiện màu đỏ.
– Xác định alcaloid: Lắc 0,2 g thuốc phiện với 5ml chloroform và vài giọt dung dich amoniac trong 10 phút. Để bốc hơi tự nhiên chloroform trên mặt kính đồng hồ, ở xung quanh sẽ có một vòng tủa tinh thể màu trắng xám nhạt. Thêm 2 giọt thuốc thử sulfoformol sẽ xuất hiện màu đỏ sẫm (phản ứng do morphin).
– Phản ứng Huseman: Chiết bột thuốc phiện bằng chloroform có amoniac, bốc hơi dịch chiết, cho vào cắn 0,5 – 1 ml acid H2SO4 đặc, đun 30 phút trong nồi cách thủy sôi; nếu có morphin thì dung dich xuất hiện màu đỏ vàng. Sau khi nguội cho thêm một giọt acid HNO3 đặc sẽ xuất hiện ngay màu xanh đến tím đỏ va màu này sẽ mất dần (do morphin chuyển thành apomorphin).
– Xác định alcaloid bằng sắc ký giấy: Chiết lấy cồn thuốc phiện 1/10 (Dùng cồn 600) chấm lên giấy đã tẩm dung dịch monokali photphat 0,2M, dùng dung môi khai triển là n-butanol bão hòa nước (có so sánh với mẫu chuẩn của morphin, codein, papaverin, noscapin). Sau khi khai triển và sấy khô, phun lên giấy sắc ký thuốc thử Dragendorff (hoặc dùng kali iodoplatinat).
– Xác định alcaloid bằng sắc ký lớp mỏng: Có nhiều tác giả nghiên cứu định tính các alcaloid trong thuốc phiện bằng sắc ký lớp mỏng. Theo Neubauer và Mothes để kiểm tra nhựa thuốc phiện có thể dùng chất hấp phụ là silicagen G với dung môi khai triển là benzen + metanol (80 + 20) sẽ tách được 10 alcaloid; dùng thuốc thử Dragendorff để phun hiện màu. Bayer dùng chất hấp phụ là silicagen G với hệ dung môi là xylol: metyletylceton: metanol: dietylamin (40: 60: 6: 2) sẽ tách được narcotin có Rf: 0,74; papaverin 0,59, thebain 0,45, codein 0,26, morphin 0,12. Dùng hệ dung môi khai triển là: CHCl3: MeOH: NH4OH [50: 9: 1] có thể tách được trên 10 alcaloid.
Định lượng morphin

Muốn định lượng morphin phải chiết riêng được morphin rồi định lượng bằng phương pháp đo thể tích, phương pháp cân hay phương pháp so màu.
Vì morphin có chứa OH – phenol nên tan trong dung dịch nước có tính chất kiềm và không tan trong các dung môi hữu cơ thường dùng như những alcaloid khác, do đó quá trình chiết tách morphin không thể áp dụng như các phương pháp thông thường.
a/ Định lượng morphin trong nhựa thuốc phiện bằng phương pháp đo thể tích
Quá trình tiến hành được ghi chi tiết trong dược điển Việt Nam II (và một số dược điển khác như Dược điển Quốc tế, Dược điển Pháp..) ở đây chỉ giải thích những điểm chủ yếu của phương pháp
– Morphin tồn tại ở thuốc phiện dưới dạng muối tan trong nước (đặc biệt là meconat). Nếu chiết bằng nước sẽ không chiệt để và có một số muối alcaloid khác cũng tan theo. Người ta dùng nước vôi, các alcaloid khác bị vôi đẩy, còn morphin vì có chức phenol nên tạo ra calci meconat. Tuy nhiên cũng có một ít alcaloid khác như narcotin, nacetin… cũng tan theo morphin, như vậy trong dịch chứa calci morphinat còn ít vôi thừa và một phần nhỏ vài alcaloid khác.
– Với số lượng dịch lọc đã cân trước cho thêm amoni clorid, chất này phản ứng với nước vôi tạo ra amoniac. Amoniac giải phóng làm tủa morphin và lượng amoniac thừa quá ít không đủ để hòa tan lại alcaloid. Mặt khác, amoi clorid thừa có tác dụng đệm nên cũng hạn chế số morphin hòa tan lại nếu có amoniac thừa. Tủa tạo ra với sự có mặt của cồn 900 và ether là để loại những tạp chất đi kèm theo morphin (nhựa, narcotin …). Sau 24 giờ, lọc lấy tủa morphin trên phễu thủy tinh xốp, rửa tủa bằng ether rồi bằng nước bão hòa morphin và ether cho đến khi loại hết clorid. Sau đem sấy khô ở 100 – 1050 C trong 30 phút.
– Hòa tan morphin trong metanol nóng, metanol không hòa tan vôi và các muối calci. Chuẩn độ bằng HCl 0,1N, dùng chỉ thị màu metyl đỏ, có thêm nước pha loãng để chuẩn độ sau cùng.
– Trong công thức tính toán kết quả định lượng người ta cộng thêm 1 vào số ml dung dịch HCl 0,1N đã dùng và để bù vào lượng morphin hao hụt do còn lại trong dung dịch. Mặt khác để tính toán so với thuốc phiện khan nên cần phải tính đến hàm lượng nước chứa trong nhựa đem kiểm nghiệm, xác định nó bằng cách loại nước ở tủ sấy 100 – 1050C. Trong dung dịch chiết, vì phải xử lý thuốc phiện bằng nước và vôi nên khối dịch lọc lấy bao gồm các chất hòa tan, lượng nước có trong mẫu thuốc phiện kiểm nghiệm và lượng nước mới cho thêm vào. Để xác định dịch chiết calci, đem bốc hơi một phần nhất định dịch lọc và đem cân cặn đã sấy ở 1000C.
Trong công thức có tính đến hàm lượng nước trong thuốc phiện và dịch chiết calci cho phép tính hàm lượng morphin trong nhựa đã kiểm nghiệm ra morphin khan.
b/ Định lượng morphin trong quả thuốc phiện khô:
– Nguyên tắc: Chiết bột quả thuốc phiện khô bằng n- propanol trong môi trường HCl 0,1N ở bình Soxhlet trong 3-4 h cho đến kiệt alcaloid. Bốc hơi dung môi n – propanol, cắn khô chứa morphin và các alcaloid phụ ở dạnh muối hydroclorid hòa tan nóng trong HCl 1N, để nguội, lọc, lắc với chloroforrm nhiều lần để loại tạp chất. Bay hơi hết cloroform. Lấy một thể tích thích hợp dịch chiết cô cách thủy đến khô. Hòa tan cắn bằng NaOH. Lắc nhiều lần với cloroform để loại alcaloid phụ.
Trung tính dịch chiết morphin bằng HCl tới pH = 7 rồi lắc với hh dung môi cloroform : isopropanol (3:1), sau kiềm hóa bằng NaHCO3 4% tới pH 9 và lắc tiếp với hh dmôi trên. Gộp dịch chiết cloroform : isopropanol lại và lọc qua Na2SO4 khan. Cất thu hồi dung môi. Cắn morphin base hòa tan trong HCl 0,1N dư, chuẩn độ acid thưa bằng NaOH 0,1N, chỉ thị màu là đỏ metyl.
1ml HCl 0,1N tương ứng 28,53mg morphin base khan.
Ngoài ra, còn có thể định lượng morphin trong nhựa hoặc trong quả khô bằng các phương pháp khác.
– Phương pháp cân (theo Pfeifer): Cho morphin tác dụng với dinitrofluobenzen sẽ tạo tủa morphindinitrophenylete, lấy riêng tủa, sấy khô rồi cân.
– Phương pháp so màu (theo Kleischmitdt và Mothes). Dựa theo nguyên tắc chuyển morphin thành 2 – nitrosomorphine. 2 – nitrosomorphin sẽ cho màu đỏ đậm trong môi trường kiềm.
– Phân lập morphin bằng sắc ký hay điện di trên giấy, phun hiện màu bằng thuốc thử Dragendorff rồi đo mật độ quang, hoặc phân lập bằng sắc ký lớp mỏng, chiết lấy riêng morphin rồi định lượng bằng phương pháp so này hay quang phổ tử ngoại.
Tác dụng dược lý
Thuốc phiện có tác dụng giảm đau rất tốt nhưng dùng lâu gây nghiện nên đã xếp thuốc vào thuốc độc bảng A nghiện.
Đối với hệ thần kinh trung ương, thuốc phiện có tác dụng lên vỏ não và trung tâm gây đau. Dùng liều nhỏ, lúc đầu gây cảm giác kích thích dễ chịu, thoải mái, sau làm mất cảm giác đau. Với liều cao gây ngủ. Có tác dụng lên trungtaam hô hấp và hành tủy làm cho nhịp thở thoạt đầu nhanh, nông, sau chậm lại. Khi bị ngộ độc có thể ngừng thở. Có tác dụng làm giảm kích thích ho.
Đối với bộ máy tiêu hóa: Liều nhỏ kích thích co bóp dạ dày, có thể gây nôn, liều cao có tác dụng chông nôn, khi uống làm giảm nhu động ruột nên dùng chữa ỉa chảy.
Morphin có tác dụng lên thần kinh trung ương nhất là vỏ não, ức chế trung tâm đau gây ngủ. Liều thấp kích thích hô hấp, liều cao hơn thì ức chế trung tâm này, liều cao có thể làm liệt hô hấp. Morphin cũng ức chế trung tâm ho nhưng kém hơn codein.
Codein ít độc hơn morphin, tác dụng giảm đau kém nhưng tác dung ức chế trung tâm ho mạnh nên được dùng làm thuốc chữa ho tốt. Lạm dụng thuốc sẽ bị nghiện.
Papaverin kích thích thần kinh ngoại biên, làm giảm co thắt cơ trơn, đặc biệt đối với dạ dày và ruột.
Noscapin không gây ngủ, co giật ở liều cao nên trong các thuốc phiện người ta thường loại bỏ nó đi; tuy vậy, đôi khi người ta cũng kết hợp với morphin để làm tăng tác dụng giảm đau đồng thời ngăn cản hiện tượnglamf liệt trung tâm hô hấp do morphin. Ngoài ra, noscapin được dùng để điều chế cotacnin có tác dụng cầm máu.
Công dụng và liều dùng
Quả
a/ Đối với quả chưa chích nhựa
– Dùng để chiết xuất morphin, đa phần morphin được chuyển thành codein.
– Chế cao toàn phần để làm thuốc thay thế cho nhựa thuốc phiện.
– Dùng làm thuốc giảm đau
b/ Quả đã chích nhựa (anh túc xác)
– Làm thuốc chữa ho, tả, lỵ, đau bụng, giảm đau. Dùng 4-6g/ngày dưới dạng thuốc sắc hay hãm.
Hạt
Một phần được dùng làm thực phẩm cho người hoặc chim. Đa phần dùng để ép dầu. Dầu dùng để ăn, dùng trong công nghiệp sơn và dùng trong ngành Dược. Dầu dùng để chế dầu iod (lipiodol hoặc iodolipol) dùng làm thuốc cản quang khi chiếu các xoang trong cơ thể, chế thuốc xoa bóp, thuốc mỡ… Bã dầu dung làm thức ăn gia súc.
Nhựa thuốc phiện:
– Dùng làm thuốc giảm đau, thuốc ngủ, thuốc ho, chữa ỉa chảy. Nhựa thường dùng phối hợp với các vị thuốc dưới dạng cao đơn hoàn tán hoặc ở các dạng:
+ Bột thuốc phiện (10% morphin), uống liều 0,05g/lần và 0,2g/24h
+ Cao thuốc phiện (20% morphin) dùng liều 0,05-0,1g/24h
+ Cồn thuốc phiện (1% morphin), 56 giọt = 1g dùng 1-3g/24h
Nhựa thuốc phiện xếp loại độc A gây nghiện, không được dùng liên tục quá 7 ngày và phải rất thận trọng khi dùng cho trẻ em và người già.

– Dùng để chiết xuất alcaloid. Phần lớn việc sản xuất nhựa thuốc phiện hợp pháp dùng để chiết xuất morphin. Trên thế giới hàng năm cần hàng trăm tấn.
Morphin dùng làm thuốc giảm đau, chữa co giật mê sảng, động kinh. Thường dùng dưới dạng morphin hydroclorid để tiêm dưới da hoặc tiêm bắp. Liều tối đa 0,02g/1 lần và 0,05g/24h.
Việc tiêu thụ morphin không nhiều còn phần lớn dùng để điều chế các dẫn chất như codein, codetylin…
Codein dùng để chữa ho, dùng dưới dạng bột, viên, siro… codetylin cũng có tác dụng tương tự codein.
Papaverin dùng làm thuốc giảm đau dùng trong bệnh co thắt dạ dày, ruột, mật, co thắt tử cung trong khi đẻ, đe dọa xẩy thai, co thắt mạch máu… Papaverin dùng trên thị trường phần lớn được điều chế bàng PP tổng hợp.
Narcein và thebain ít được sử dụng.
Lá
Đôi khi được dùng làm thuốc giảm đau.
Chú ý: Heroin (= Diacetylmorphin) là chế phẩm bán tổng hợp từ morphin, là chất ma túy gây nghiện rất mạnh. Người bị nghiện sẽ suy sụp nhanh chóng về thể xác và tinh thần. Dùng liều khoảng 0,06g có thể gây chết người sau khi tiêm.
Copy xin vui lòng ghi nguồn duovital.net



Nhóm platisoquinolin
Nhóm protopin