CÂY CÀ LÁ XẺ
| Tên khoa học của cây cà lá xẻ: | Solanum laciniatum Ait., |
| Họ Cà | Solanaceae. |
Cây cà lá xẻ còn gọi là cà Úc.
1.Đặc điểm thực vật
Cây thuộc thảo, sống nhiều năm, cây cao tới 2 – 2,5 m, thân mọc đứng, phần gốc hóa gỗ.Thân thiết diện tròn, khi cây cao 40 – 60 cm thì phân cành, thân cây bắt đầu ra là màu xanh đậm và chuyển sang màu đen khi có phát triển, cuối cùng tạo thành vỏ thô màu nâu.

Lá đơn, mọc so le, có hình dạng và kích thước rất khác nhau. Lá ở phía dưới dài tới 35 cm, có cuống, thường xẻ lông chim lẻ. Lá phía trên ngắn dần và bị xẻ ba, còn lá ở ngọn thì nhỏ, nguyên hình mũi mác. Lá nhẵn, mặt trên xanh xẫm, mặt dưới nhạt hơn, gân hình lông chim nổi rõ ở mặt dưới, mặt trên gân giữa màu lục.
Hoa to họp thành chùm ở nách lá. Hoa đều, lưỡng tính, mẫu 5, màu tím. Đài có 5 răng màu xanh, tràng hình bánh xe có 5 gân màu chính màu vàng nhạt dính nhau phía dưới thành ống ngắn, hẹp và màu lục, phía trên loe rộng và màu tím. Nhị 5, rời, dài bằng nhau, đính ở đáy ống tràng và xếp xen kẽ với cánh hoa; chỉ nhị vàng nhạt, nhẵn; bao phấn thuôn, vàng sậm, xếp chụm vào nhau thành một ống thẳng đứng bao quanh vòi nhụy, 2 ô, hướng trong; hạt phấn rời, màu vàng nhạt, hình bầu dục; bầu trên, hai ô màu xanh, vòi màu tím và 2 núm tách đôi.


Quả kiểu cà, mọng, đơn lẻ, hình trứng dài 2 – 3 cm, vỏ láng bóng màu vàng khi chín, lá đài đồng trưởng trên quả, dày. Hạt nhiều, nhỏ, hình thận có màu nâu.
Toàn cây độc, nhưng thịt quả chín có thể ăn được.
Mùa hoa quả tháng 7 – 10.
2.Phân bố
Cà lá xẻ có nguồn gốc ở châu Úc và Tân Tây Lan. Cây thích hợp với khí hậu cận nhiệt đới. Nhiều nước đã di thực và trồng như Trung Quốc, Xri lanca. Nước ta cũng đã di thực được cây này nhưng chưa phát triển trồng nhiều.
3.Bộ phận dùng
Phần trên mặt đất phơi hay sấy khô (Herba Solani lanciniati)
4.Thành phần hóa học
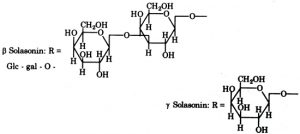
Toàn cây chứa hai loại glycoalcaloid (khung stroid) gần giống nhau là Solasonin và Solamargin, khi thủy phân cho cùng một aglycon là solasodin.
Solasonin thường bao gồm α, β và γ – solasonin: α – solasonin có hàm lượng cao nhất, còn β và γ – solasonin là glycoside cấp hai do α – solasonin thủy phân tạo ra, cũng có thể tồn tại kèm theo với α – solasonin trong cây.
Hàm lượng glycoalcaloid thay đổi tùy theo bộ phận của cây.
Ví dụ : Đối với cây trồng của viện Vilar (Nga) cho kết quả (tính theo dược liệu khô) : 2,48 – 3,87%; thân (phần dưới và phần ở giữa): 0,26 – 0,32%; rễ 0,81%, quả xanh 6,61%.
Tuy hàm lượng glycoalcaloid trong quả xanh cao nhưng chỉ chiếm 3,7% khối lượng cuả cây, còn lá thì chiếm tới 50%.
Tỉ lệ Solasodin 1,2 – 1,6% ở lá.
Ngoài các glycoalcaloid từ bộ phận trên mặt đất của cây, các tác giả Nga còn tách được khoảng 0,20% diosgenin
Định lượng Solasodin trong môi trường khan:
Quá trình định lượng có thể chia làm 3 giai đoạn:
a.Chiết xuất Glycoalcaloid :
Cân chính xác 1g bột dược liệu cho vào cốc có mỏ, thấm ẩm bằng 4ml acid acetic 2%, để trong 30 phút rồi cho vào bình chiết và chiết bằng dung dịch acid acetic 2% cho đủ 25 ml.
b.Thủy phân và chiết solasodin :
– Lấy 5 ml dịch chiết trên cho vào 1 bình cầu dung thích 20 ml
– Thêm vào đó 1 ml HCl 5N
– Lắp ống sinh hàn ngược và thủy phân trong 1 giờ trên nồi cách thủy sôi
– Sau khi nguội, kiềm hóa dịch thủy phân bằng NaOH 25% tới pH 9,5 rồi lại đặt lên nồi cách thủy sôi trong 10 phút
– Sau đó lấy ra, để nguội và cho vào tủ lạnh trong 1 giờ
– Lọc lấy tủa vào giấy lọc không gấp nếp
– Đem sấy tủa ở 700C cho tới khô
– Gấp và cho giấy lọc có tủa vào bình Soxhlet rồi chiết bằng 20 ml chloroform khan trong 1 giờ.
c.Định lượng.
Dịch chiết solasodin sau khi để nguội thêm 2 giọt dimethyl vàng rồi định lượng bằng dung dịch paratoluen sulfonic 0,005N cho tới khi có màu hồng nhạt.
1 ml dung dịch paratoluen sulfonic 0,005N tương ứng với 2,069 mg solasodin.
% Solasodin= n. K.2,069.25.100/b.5
n: số ml paratuluen sulfonic 0,005N đã dùng
K: hệ số điều chỉnh
b: số gam dược liệu khô kiệt
5.Công dụng
-Cà lá xẻ được dùng để chiết xuất lấy solasodin
-Từ solasodin bán tổng hợp ra thuốc steroid
-Liên Xô cũ đã bán tổng hợp ra progesterone và cortison từ solasodin lầ đầu năm 1957
-Tổng hợp ra presnisolon, presnison.. có tác dụng chống viêm dùng trong các bệnh dị ứng (hen phế quản, tự miễn, chữa thấp khớp
-Ngoài ra có diosgenin cũng được dùng bán tổng hợp ra thuốc có bản chất steroid.
-Trái cây chín được dùng như thức ăn của thổ dân ở Tasmania và người Maori ở New Zealand – nhưng lưu ý rằng khi chưa chín trái cây có độc.
Ghi chú:Năm 1963 nước ta cũng đã di thực cây Solanum aviculare Forst, nhưng không phát triển
Copy xin vui lòng ghi nguồn duovital.net



