CÂY Ý DĨ

Xuất bản: UTC +7

Thông tin khoa học của CÂY Ý DĨ

Semen Coicis

Dược liệu là hạt của cây ý dĩ còn gọi là bo bo  Coix lachryma jobi L. var. ma-yuen
họ Lúa Poaceae.

ĐẶC ĐIỂM THỰC VẬT VÀ PHÂN BỐ

            Cây thảo sống hàng năm, cao chừng 1-1,5 m. Thân nhẵn bóng có vạch dọc. Thân có phân nhánh, các mấu phía dưới có thể mọc rễ phụ, cây mọc thành bụi. Lá hình mác dài 10-40 cm, rộng 1,5-3 cm, gân dọc nổi rõ, gân giữa to. Hoa đơn tính cùng gốc mọc ở kẽ lá thành bông, hoa đực mọc phía trên, hoa cái phía dưới. Hoa đực có 3 nhị. Quả có mày cứng bao bọc. Cây mọc hoang ở nơi ẩm mát, có trồng ở nhiều nơi như Thanh Hóa, Nghệ An, Sông Bé và vùng Tây Nguyên.

Cây Ý Dĩ
Cây Ý Dĩ
Cây Ý Dĩ
Cây Ý Dĩ

BỘ PHẬN DÙNG VÀ CHẾ BIẾN

            Hạt hình trứng dài 5-8 mm đường kính 2-5 mm, mặt ngoài màu trắng đục đôi khi còn sót lại màng vỏ chưa loại hết, mặt trong có rãnh hình máng. Chất cứng, không mùi, vị ngọt và hơi thơm, chứa nhiều tinh bột. Thu hoạch tháng 12 -1. Cắt về đập lấy quả (thường gọi là hạt) đem phơi khô, loại bỏ quả lép rồi xay xát lấy hạt. Dược liệu rất dễ bị sâu mọt, cần để nơi khô ráo.

Cây Ý Dĩ
Cây Ý Dĩ

THÀNH PHẦN HÓA HỌC

            Ngoài tinh bột là thành phần cơ bản chính, các nhà nghiên cứu còn phân lập 2 chất có hoạt tính chống ung thư từ hạt:

Coixenolid: đây là một chất lỏng sánh màu vàng nhạt, tan trong các dung môi hữu cơ khó tan trong nước. Đem khử thì cho tetrahydrocoixenolid. Chất này cũng có tác dụng chống ung thư.

Chất thứ hai có tác dụng chống ung thư là a – monolinolein. Chất  này được chiết từ  hạt bằng methanol.

Benzoxazolon (=2-benzoxazolinone) có trong lá và rễ  là chất có tác  dụng chống viêm rõ do ức chế sự giải phóng histamin.

Cây Ý Dĩ

a-monolinolein

Cây Ý Dĩ

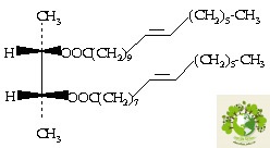
Coixenolid

Một số dẫn chất lignan và syringyl glycerol cũng được phân lập từ rễ.

Cây Ý Dĩ

Benzoxazolon

Thử tinh khiết

            Dược điển Việt Nam quy định: độ ẩm không quá 12%, tro toàn phần không quá 2%, tạp chất hữu cơ không quá 0,5%.

4.Công dụng

            Trong y học cổ truyền ý dĩ được dùng làm thuốc giúp tiêu hóa, chữa tiêu chảy do chức phận tiêu hóa kém, viêm ruột, lỵ, làm thuốc thông tiểu trong trường hợp phù, tiểu tiện ít. Ngoài ra còn dùng để chữa viêm khớp, làm thuốc bồi dưỡng cơ thể, bổ phổi.

            Ngày dùng 10-30g dưới dạng thuốc sắc hoặc tán thành bột hoặc làm hoàn tán với các vị thuốc khác.

Copy xin vui lòng ghi nguồn duovital.net

Để lại một bình luận

Email của bạn sẽ không được hiển thị công khai. Các trường bắt buộc được đánh dấu *