Thông tin khoa học của CÂY TÔ MỘC
Lignum Caesalpiniae
| Dược liệu là gỗ phơi khô của cây gỗ vang (hay cây tô mộc) | Caesalpinia sappan L., |
| Họ Vang | Caesalpiniaceae. |
Đặc điểm thực vật.
Cây gỗ cao 7-10m, thân có gai. Lá kép lông chim, gồm 12 đôi lá chét hoặc hơn; lá chét mặt trên nhẵn, mặt dưới có lông. Cánh hoa có lông, bầu có lông. Quả dẹt, nở về phía đỉnh và nhô ra thành mỏ, có 4 hạt. Cây mọc hoang và được trồng một số nơi ở nước ta.

Bộ phận dùng.
Gỗ lõi của những cây đã già, khi gỗ đã có màu vàng đỏ. Người ta hạ cây và cưa thành khúc dài 20cm rồi chẻ nhỏ thành thanh rộng 5-8cm dày 0,5cm. Gỗ dễ chẻ theo chiều dọc của thớ, không mùi, vị hơi chát.
Vi phẫu: mạch gỗ to, đứng riêng lẻ hoặc dính liền nhau 2-3 mạch. Mô mềm gỗ cấu tạo bởi những tế bào nhỏ, thành dày hoá gỗ xếp đều đặn. Tia ruột rõ, gồm một hoặc 2 dày tế bào.
Bột: màu da cam, soi kính hiển vi thấy: nhiều mảnh mạch chấm, nhiều tế bào mô mềm gỗ thành dày.
Thành phần hóa học.
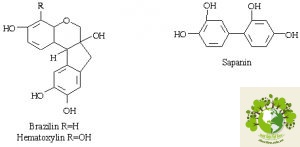
– Brazilin là chất có tinh thể màu vàng, công thức gần giống với hematoxylin cũng là chất có tinh thể màu vàng và có trong lõi gỗ của cây Hematoxylon campechianum L. Cả hai chất này đều có nhân phenylchroman được xếp vào neoflavonoid. Chất brazilin ở môi trường kiềm cho màu đỏ. Bên cạnh brazilin còn có 3′-O-methylbrazilin.
– Trong gỗ vang còn có: sapanin (-2,3′,4,4′-tetrahydroxydiphenyl), tanin, acid gallic.
Tác dụng và công dụng.
– Phòng đông y thực nghiệm của Viện vi trùng Việt nam (nay là Viện Pasteur Hà nội) đã nghiên cứu thấy nước sắc tô mộc có tác dụng kháng khuẩn rõ đối với các vi khuẩn Staphylococcus 209P,Shigella dysenteriae, Sh. flexneri, Bacillus subtilis, ngoài ra có tác dụng yếu trên một số vi khuẩn khác. Chất tác dụng không bị nhiệt phá huỷ.
– Tăng và kéo dài thời gian tác dụng của hormon thượng thận đối với mẫu ruột cô lập của chuột bạch hoặc tử cung cô lập và huyết áp của thỏ.
– Tác dụng co mạch đối với ếch.
– Tác dụng đối kháng với chất có tác dụng hưng phấn trung khu thần kinh (như Strychnin) gây ra.
– Có tác dụng gây ngủ đối với thỏ, chuột bạch.
– G.S. Nguyễn Thị Lâu – trường đại học Y dược Tp. HCM nghiên cứu thấy nước sắc tô mộc có tác dụng chống phân bào rõ rệt.
– Theo dược điển Trung quốc, tô mộc cải thiện tuần hoàn máu làm mất đi sự ứ huyết, giảm viêm và giảm đau.
Dùng chữa mất kinh, loạn kinh, ứ huyết sau khi sinh. Đau nhói vùng ngực và bụng, bị chấn thương.
Phụ nữ mang thai không được dùng.
– Nước sắc gỗ vang được nhân dân dùng nhuộm gỗ trước khi đánh vecni; có thể dùng làm thuốc nhuộm trong vi phẫu thực vật (phần gỗ bắt màu hồng, theo GS. Vũ Văn Chuyên trường đại học Dược khoa Hà nội).
– Có thể dùng làm thuốc thử màu acid kiềm (acid chuyển sang vàng, kiềm chuyển sang tím) vùng chuyển màu pH 5,8-7,7.
Copy xin vui lòng ghi nguồn duovital.net



