Thông tin khoa học của CÂY MẠCH MÔN
Radix Ophiopogonis
| Mạch môn là rễ củ phơi hay sấy khô của cây mạch môn | Ophiopogon japonicus (L.f.) Ker. Gawl., |
| Họ hoàng tinh | Convallariaceae |
Đặc điểm thực vật và phân bố.
Cây thuộc thảo cao 10-40 cm. Lá mọc từ gốc, hẹp, dài, gân lá song song, mặt trên màu xanh thẫm, mặt dưới trắng nhạt. Hoa màu lơ nhạt mọc thành chùm, quả mọng màu tím. Rễ chùm có nhiều rễ phình thành củ nhỏ hình thoi. Cây được trồng một số tỉnh ở miền Bắc. Đôi khi gặp mọc hoang.
Thu hái, chế biến:
Rễ củ thu hoạch vào tháng 9-12 ở những cây mọc được 2 năm, cắt bỏ rễ con, rửa sạch, củ nhỏ để nguyên, củ to bổ đôi, phơi hay sấy nhẹ cho khô.
Dược liệu hình thoi dài 2-7 cm, rộng 0,2-0,8 cm. Vị ngọt hơi đắng.

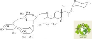
Thành phần hoá học
– Saponin steroid: ophiopogonin A,B,C,D. ophiopogonin A,B và D khi thủy phân cho phần aglycon là ruscogenin. Cấu trúc của ophiopogonin B và D đã được xác định. Mạch đường đặc biệt được nối vào OH ở C1.
-Carbohydrat gồm có một số glucofructan và một số monosaccharid: glucose, fructose và saccharose.
– b -sitosterol, stigmasterol và b -sitosterol b -D-glucosid

Công dụng
Thuốc giảm ho, tiêu đờm, chữa táo bón, lợi tiểu.
Ngày dùng 6-20g dưới dạng thuốc sắc.
Copy xin vui lòng ghi nguồn duovital.net



